Archaeologia Lituana ISSN 1392-6748 eISSN 2538-8738
2022, vol. 23, pp. 269–289 DOI: https://doi.org/10.15388/ArchLit.2022.23.15
Tarpdisciplininiai vėlyvojo bronzos amžiaus Kukuliškių gyvenvietės (Klaipėdos r.) tyrimai: metodika ir pirminiai rezultatai
Miglė Urbonaitė-Ubė
Klaipėdos universitetas
Baltijos regiono istorijos ir archeologijos institutas
Herkaus Manto g. 84, LT-92294 Klaipėda
migle.urbonaite-ube@ku.lt
ORCID https://orcid.org/0000-0002-0726-5525
Anotacija. Šio straipsnio tikslas yra pristatyti svarbiausius 2017–2020 m. Kukuliškių gyvenvietės (Klaipėdos r.) archeologinių tyrimų rezultatus. Per tris tyrimų sezonus ištirtas 45 m2 plotas, sukaltas 101 geologinis grąžtas, georadaru skenuota daugiau nei 3 ha teritorija. Nustatyta 15 AMS 14C datų iš skirtingų gyvenvietės vietų ir stratigrafinių sluoksnių. Nustatyta, kad gyvenvietė vienalaikė ir buvo apgyventa apie 800–400 m. pr. Kr. Atliktų tyrimų kompleksiškumas ir apimtis atveria galimybes pažinti šios vėlyvojo bronzos amžiaus pajūrio bendruomenės gyvenseną. Aptiktos medinės konstrukcijos, organiniai artefaktai ir ekofaktai rodo, kad čia susidariusios puikios sąlygos organikai išlikti, o tokių priešistorės objektų Lietuvoje yra vos keliolika. Tad šis objektas ir tyrimų duomenys atveria išskirtines galimybes tirti bronzos amžiaus gyvenseną ne tik Lietuvos pajūryje, bet ir visame pietryčių Baltijos regione.
Reikšminiai žodžiai: vėlyvasis bronzos amžius, pietryčių Baltijos regionas, piliakalnis, kalvos gyvenvietė, keramika.
Multidisciplinary Research in Late Bronze Age Kukuliškiai Settlement (Klaipėda District): Methods and Primary Results
Abstract. The aim of this article is to present the most important results of the archaeological research of the Kukuliškiai settlement (Klaipėda district) in 2017–2020. During 3 seasons of the research, more than 3 hectares of the territory on the Littorina sea terrace were scanned by GPR, 101 geological drills were hammered, and an area of 45m2 was investigated. Fifteen AMS 14C dates were taken from different objects and stratigraphic layers of the settlement. Dating showed that settlement was contemporaneous and occupied around c. 800–400 cal BC. The complexity and scope of the research provides valuable insights into the lifestyle of Late Bronze Age coastal community. The discovery of wooden structures, organic artefacts and ecofacts indicates that the site provides excellent conditions for the survival of organics, of which there are only a dozen in Lithuania. The site and the collected research data, therefore, offer exceptional opportunities for the study of Bronze Age life not only in the coastal Lithuanian, but also in the southeastern Baltic region.
Keywords: Late Bronze Age, southeastern Baltic, hillfort, hilltop settlement, pottery.
__________
Padėka. Šio straipsnio parengimas finansuotas pagal Lietuvos mokslo tarybos Lituanistikos 2016–2024 m. programą (sut. Nr. S-LIP-22-64).
Dvi AMS 14C datos – FTMC-I070-1: 2422±26 ir FTMC-IO70-2: 2418±26 BP – nustatytos pasinaudojus Lietuvos archeologijos draugijos ir „Vilnius Radiocarbon“ laboratorijos iniciatyva Moderniausios technologijos Lietuvos archeologijai.
Prie 2017–2020 m. lauko ir vėliau laboratorinių tyrimų prisidėjo daugybė kolegų, be kurių įdėto darbo ir pastangų Kukuliškių tyrimai nebūtų tokie, kokie yra dabar. Dėkoju Karoliui Minkevičiui, Giedrei Piličiauskienei, Gintautui Zabielai ir Albertui Bitinui. Nuoširdus ačiū Pajūrio regioninio parko direkcijai (nuo 2022 m. liepos 1 d. Mažosios Lietuvos saugomų teritorijų direkcija) ir Klaipėdos rajono savivaldybei už ilgalaikį bendradarbiavimą.
Received: 05/09/2022. Accepted: 14/11/2022
Copyright © 2022 Miglė Urbonaitė-Ubė. Published by Vilnius University Press. This is an Open Access article distributed under the terms of the Creative Commons Attribution License, which permits unrestricted use, distribution, and reproduction in any medium, provided the original author and source are credited.
Įvadas
Pastaraisiais metais bronzos amžiaus gyvenviečių tyrimai Lietuvoje labai suintensyvėjo (Podėnas ir kt., 2022, p. 219; Vengalis, 2020, p. 305). Analizuojama jau turima archeologinė medžiaga, atliekami nauji moksliniai piliakalnių archeologiniai tyrimai, kurių metu taikomi tarpdisciplininiai metodai ir renkama įvairialypė mokslinė informacija. Šie tyrimai koncentruojasi labiau Rytų Lietuvos regione. Tai suprantama, nes čia ir aptinkama daugiausia ankstyvųjų piliakalnių ir bronzos amžiaus gyvenviečių. Vakarų Lietuvoje bronzos amžius daugiausia pažįstamas iš laidojimo paminklų ir atsitiktinių metalinių artefaktų, kurie išsamiai analizuoti įvairiose mokslo publikacijose (Čivilytė ir kt., 2015; Muradian, 2017; Merkevičius, Muradian, 2015). O Vakarų Lietuvos I tūkstantmečio pr. Kr. pirmos pusės piliakalnių ir gyvenviečių medžiagos nedaug, ji fragmentiška, sluoksniai apnaikinti vėlesnių apgyvenimo horizontų arba paminklai apskritai netyrinėti (Grigalavičienė, 1995, p. 35; Juodagalvis ir kt., 2018). Tokiais ryškiausiais pavyzdžiais galima laikyti Kurmaičių (Kretingos r. sav.) ir Imbarės (Kretingos r. sav.) piliakalnius, kuriuose aptikta brūkšniuotos, kruopėtos ir lygiu paviršiumi keramikos, kelios ūkinės duobės ir mediniai įtvirtinimai (Merkevičius, 1980, p. 22; Daugudis, 1984, p. 20–21; Daugudis, 1986, p. 20). Kiti tos pačios chronologijos paminklai yra dar labiau nutolę į žemyninę dalį, kur jų gausiau. Apskritai žemyninėje jūros pakrantėje archeologijos paminklų labai reta, o aptiktieji daugiausia datuojami akmens (Šventosios akmens amžiaus gyvenvietės), I tūkstantmečio pr. Kr.–Viduramžių (Palangos ir Žardės archeologiniai kompleksai) laikotarpiais (Rimantienė, 2005; Piličiauskas, 2018; Žulkus, 2007; 2004; Kraniauskas, 2011; Genys, 2012; Masiulienė, 2012; 2018).
Paminklų stoka pajūrio zonoje gali būti paaiškinta tuo, kad žemyninėje dalyje tiesiog buvo palankesnės sąlygos sėsliam gyvenimui: gėlas tekantis vanduo, derlingesnė žemė, mažesnis vėjų ir audrų pavojus. Iš kitos pusės, pajūrio ruože archeologinių objektų paiešką smarkiai apsunkino XVIII a. vykę smėlio pustymai, kurie 1–3 km pločio ruožą nuo Klaipėdos iki pat Latvijos padengė įvairaus storio smėlio sluoksniu – tad klasikinis vizualinis aplinkos žvalgymas čia neefektyvus ir reikia specialaus pasiruošimo identifikuojant naujus archeologijos objektus arba tiesiog pasikliauti sėkme.
Taip netikėtai 2016 m. vasarą buvo atrastas Kukuliškių piliakalnis. Nuo 2017 m. jis įtrauktas į Kultūros paveldo registrą ir pradėtas nuosekliai tyrinėti (Urbonaitė-Ubė, Ubis, 2018; Urbonaitė-Ubė ir kt., 2019; Urbonaitė-Ubė, 2021). Piliakalnis neišraiškingas, be ryškių struktūrinių elementų. Jo aikštelė trapecinė, pailga šiaurės vakarų–pietryčių kryptimi, apie 40 x 26 m dydžio (Zabiela, 2017, p. 98). Pylimas išlikęs tik pietvakariniame aikštelės gale, jis iki 1 m aukščio. Piliakalnio šlaitai gana statūs, paveikti erozijos, apaugę lapuočiais. Archeologinis kompleksas yra Litorinos jūros terasos iškyšulyje, vos 400 m nuo Baltijos jūros, iš šiaurės ir rytų pusių jį riboja gilios raguvos, teka du bevardžiai upeliai. P dalis atskirta gilia griova, o vakarinis šlaitas atsiduria ties kopų ir jūros riba (1 pav.). Nors tai visuomenės lankoma vieta (per paminklą eina pažintiniai ir sveikatingumo takai), tačiau apie archeologinio paveldo egzistavimą istoriniuose ir kartografiniuose šaltiniuose nebuvo jokių duomenų. Taip nutiko todėl, kad dabartinis kraštovaizdis yra smarkiai pakeistas eolinio smėlio. Paslaptį atskleidė šiaurinėje piliakalnio aikštelės dalyje erozijos paveiktuose šlaituose aptiktos keramikos šukės, kurios ir leido patikimai identifikuoti šį paveldo objektą.

1 pav. Kukuliškių piliakalnio su gyvenviete situacijos planas. LiDAR planas (sud. E. Šatavičius, papildyta straipsnio autorės)
Fig. 1. Kukuliškiai site and its surroundings. LiDAR data (drawing by E. Šatavičius, edited by M. Urbonaitė-Ubė).
Nors iš pradžių spėta, kad piliakalnis sietinas su geležies amžiumi, tačiau 2017 m. atlikus archeologinius tyrimus piliakalnio aikštelėje paaiškėjo, kad tai vėlyvojo bronzos amžiaus paminklas. 2018 m. atlikus archeologinius tyrimus šalia piliakalnio buvo identifikuota ir vienalaikė gyvenvietė kalvoje. Toks atvejis, kai greta piliakalnio aptinkama ir to paties laikotarpio gyvenvietė, yra itin retas vėlyvojo bronzos amžiaus tyrimuose Lietuvoje. Tai rodo, kad gyvenviečių struktūra galėjo būti daug sudėtingesnė nei iki tol manyta. Apskritai bronzos amžiuje Lietuvos teritorijoje skiriamos trijų tipų gyvenvietės: įtvirtintos gyvenvietės (piliakalniai), kalvos gyvenvietės ir atviro tipo gyvenvietės (Merkevičius, 2022, p. 220). Nors diskusijų ir siūlymų atsisakyti vartoti ankstyvųjų piliakalnių terminą kaip įtvirtintų gyvenviečių termino sinonimą aptinkama ir naujausioje Lietuvos archeologijos istoriografijoje (Podėnas, 2020; 2022). Siūloma vartoti įtvirtintos gyvenvietės ar kalvos gyvenvietės terminus, o piliakalnių terminas laikomas ribotu ir neatspindinčiu bronzos amžiaus realijų (Podėnas, 2020, p. 178). Vis dėlto Kukuliškių atvejis yra išskirtinis ir reikalaujantis platesnio terminų suvokimo. Visų pirma, Lietuvos istoriografijoje dar nėra atvejo, kai greta vėlyvojo bronzos amžiaus įtvirtintos gyvenvietės (piliakalnio) būtų įkurta vienalaikė gyvenvietė kalvoje ir jos sudarytų vientisą kompleksą. Dėl šių skirtingų struktūrinių elementų pasirinkta vartoti Kukuliškių gyvenvietės terminą plačiąja prasme. Gyvenvietė apibrėžiama kaip įvairių funkcinių zonų vieta, kurioje vienaip ar kitaip veikia žmogus (Vengalis, 2009, p. 9). O Kukuliškių gyvenvietės struktūrines dalis sudaro piliakalnis (įtvirtinta gyvenvietė) ir kalvos gyvenvietė. Tad, nepaisant vykstančių diskusijų, šiame straipsnyje piliakalnio ir įtvirtintos gyvenvietės terminai yra vartojami sinonimiškai, t. y. laikomasi nusistovėjusios terminijos. Būtent piliakalnio terminas šiuo atveju tiksliausiai iliustruoja vieno gyvenvietės elemento ypatybes (aikštelę, pylimus, šlaitus). O gyvenvietė kalvoje, šiuo metu turimais duomenimis, buvo apsaugota ir apribota tik giliomis griovomis ir neturėjo žmogaus sukurtų įtvirtinimų.
Taigi nuo atradimo Kukuliškių archeologinė gyvenvietė tyrinėta 2017, 2018 ir 2020 m.1 Pirmaisiais metais buvo tiriama žvalgomoji perkasa piliakalnio aikštelėje (1 perkasa) ir kalamaisiais grąžtais identifikuota piliakalnio stratigrafija. 2018 m. tyrimų metu georadaru ir grąžtais žvalgyta piliakalnio aplinka. Vėliau, 2020 m., buvo tiriami didesni plotai piliakalnio aikštelėje ir kalvos gyvenvietėje. Atlikus šiuos tyrimus buvo gauta naujų duomenų apie Vakarų Lietuvos ir, svarbiausia, pajūrio bronzos amžiaus bendruomenių gyvenseną. Taip pat šio objekto nuoseklūs tyrimai ir taikyti metodai atskleidė jo reikšmę pietrytinio Baltijos jūros regiono kontekste (Minkevičius ir kt., 2020).
Tyrimų metu taikyti įvairūs metodai leido surinkti svarbios ir įvairiapusiškos informacijos apie šios bendruomenės gyvensenos ir paleokraštovaizdžio ypatumus. Šio straipsnio tikslas ir yra pristatyti taikytą tyrimų metodiką ir svarbiausius 2017–2020 m. rezultatus.
1. Vietovės situacija ir istorija
Įvairaus laikotarpio eolinio smėlio pustymai formavo šiaurinės Lietuvos pajūrio reljefo elementus nuo pat paskutinio apledėjimo. Taip susidarė parabolinės kopos, kopagūbriai ir kt. elementai. Eolinio smėlio sluoksniai yra vienas iš esmingiausių šiaurės pajūrio stratigrafinių elementų. Jų aptinkama Klaipėdos, Palangos, dalies Šventosios ir Būtingės archeologinių tyrimų metu. Profesorius Vladas Žulkus (1999, p. 32) apie Palangos tyrimus prisimena: „<...> senoji Palanga, archeologo akimis žiūrint, atrodė kaip vandenin prapuolusi. Vėliau pamatėme, jog ji išties yra nuskendusi, tik ne vandenyje, o smėlyje.“
Eolinio smėlio sluoksnių storis teritorijose labai skiriasi – kai kur siekia vos 0,10 m, kitur netgi 4 m. Todėl skirtingo storio eolinio smėlio sluoksnis yra transformavęs buvusį kraštovaizdį: buvęs žemės paviršius gali būti ir keliais metrais žemiau, pakitusi augalija, o ryškūs reljefo elementai (buvusios daubos, kalvos, upeliai ir pan.) – užpustyti. Todėl tiriant pajūryje esančius archeologinius objektus labai svarbu įvertinti supustymo storį ir senųjų dirvožemių slūgsojimo gylį. Greičiausiai dėl šių priežasčių XIX–XX a. pradžios Klaipėdos krašto archeologai taip niekada ir neužfiksavo Kukuliškių piliakalnio, nors jų veikla šiame krašte buvo labai aktyvi, o paminklų kartografavimas ir moksliniai archeologiniai tyrimai pradėti dar XIX a. viduryje (Tamulynas, 1998, p. 248).
XVIII a. vyko didžiausi pustymai – pajūrio ruožas nuo Klaipėdos iki Šventosios buvo užpustytas slenkančio Kuršių nerijos smėlio. Smėlio pustymai keitė ne tik gamtinį, bet ir kultūrinį kraštovaizdį. Istoriniuose šaltiniuose nurodoma, kad XVIII a. smėlio pustymai prasidėjo gana netikėtai ir sparčiai užklojo teritorijas, nutolusias net daugiau kaip 3 km nuo pajūrio pakrantės (2 pav.; Žulkus, 1990, p. 80). Pustymus paskatino ir smarkiai iškirsti miškai, ir prasiplėtę ganyklų plotai. Minima, kad iškirtus miškus Melnragėje, čia buvo suneštos smėlio kopos ir jos slinko giliau į sausumą (Zembrickis, 2002, p. 203). XIX a. viduryje užpustytą plotą imtasi užsodinti mišku, nes pačiai Klaipėdai grėsė būti užpustytai smėlio. 1857 m. sudarytas smėlyno tarp Melnragės ir Karklės užsodinimo planas – sodinami sodinukai, sėjamos sėklos Litorinos terasos plynaukštėje. Taip sodinant pušis, įmaišant raudonųjų ąžuolų, bukų, kaštonų, klevų, skroblų, maumedžių, beržų, susiformavo dabartinis Kukuliškių šilas (Urbis, 2017). Jau XIX a. pabaigos kartografinėje medžiagoje šioje vietoje žymimas apsodintas plotas, o XX a. pradžioje čia jau būta suaugusio miško (3 pav.).

2 pav. 1796–1802 m. gamtinė situacija Kukuliškių apylinkėse. Pagrindas – iškarpa iš Friedrich Leopold von Schroetter. Karte von Ost-Preussen nebst Preussisch Litthauen und West-Preussen nebst Netzedistrict 1796–1802, M 1:150 000. Staatsbibliothek zu Berlin – Preussischer Kulturbesitz. Kart. N 1020, papildytas autorės
Fig. 2. 1796–1802 situation of Kukuliškiai surroundings. Detail from Friedrich Leopold von Schroetter. Karte von Ost-Preussen nebst Preussisch Litthauen und West-Preussen nebst Netzedistrict 1796–1802, M 1:150 000. Staatsbibliothek zu Berlin – Preussischer Kulturbesitz. Kart. N 1020, edited by M. Urbonaitė-Ubė.

3 pav. 1912 m. gamtinė situacija Kukuliškių apylinkėse. Pagrindas – iškarpa iš Deutsches Reichkarte 1:25 000 (4-cm-Karte). Meßtischblatt: 0192 Nimmersatt. Preussischen Landesaufnahme. Nadelabmeichtung für Mitte 1936. Hrsg. 1912, redakt. Änd 1939. Berlin, 1939, papildytas autorės
Fig. 3. 1912 situation of Kukuliškiai surroundings. Detail from Deutsches Reichkarte 1:25 000 (4-cm-Karte). Meßtischblatt: 0192 Nimmersatt. Preussischen Landesaufnahme. Nadelabmeichtung für Mitte 1936. Hrsg. 1912, redakt. Änd 1939. Berlin, 1939, edited by M. Urbonaitė-Ubė.
XIX a. antroje pusėje Kukuliškių gyvenvietės apylinkės priklausė Girulių (vok. Föresterei) kurorto miško parkui, kuriame buvo įrengti miško takai išilgai jūros kranto su apžvalgos ir atokvėpio aikštelėmis, iš kurių atsiverdavo jūros panorama. Viena iš tokių stotelių buvo ant Kukuliškių piliakalnio aikštelės. Šis kyšulys prancūziškai vadintas Bellevue (vert. gražus vaizdas, graži vieta) (3 pav.). 1912 m. žemėlapyje Bellevue buvo tarpinė stotelė tarp Girulių ir Olando Kepurės.
Viena iš tarpinių stotelių tarp Girulių ir Olando Kepurės buvusi ir Drei Berge (liet. Trys kalvos). Ji vaizduojama ir 1935–1939 m. darytame Elch-Drogerie studijos fotografo A. Henningo atviruke (4 pav.). Nuotraukoje ant medžio yra prikalta lentelė su užrašu 3 kalnai 3 Berge, o ranka kitoje pusėje užrašyta Bellevue in Försterei. Analizuojant ir lyginant šį atviruką, publikuotą archyvinę medžiagą ir 1910 m. turistinį Girulių gidą, panašu, kad Drei Berge ir Bellevue yra arba ta pati vieta, arba greta esantys kyšuliai (Demereckas, 2014, p. 41; Franz, 1910, p. 9) ir tai yra būtent Kukuliškių piliakalnio iškyšulys.

4 pav. 1935–1939 m. situaciją atspindintis Drei Berge atvirukas (asmeninis autorės archyvas)
Fig. 4. Postcard of Drei Berge from period of 1935–1939 (personal archive).
Poilsio aikštelėse buvo įrengiamos pavėsinės ar suolai poilsiui, kraštai buvo apjuosti medinėmis tvoromis. Drei Berge vietoje buvo tik suoliukai, nuo kurių buvo galima žiūrėti į jūrą, ir medinės tvoros. Panašu, kad archeologinių tyrimų metu 2017 ir 2020 m. paviršiuje aptikta aptrūnijusių medinių stulpų, kurie gali būti siejami su stovėjusia medine tvora, taip pat aptikta tarpukario Lietuvos 10 centų moneta. Tik tyrimų metu, neturint šios archyvinės medžiagos, buvo manoma, kad tai susiję su Antrojo pasaulinio karo įtvirtinimais ir įrenginiais šioje fronto linijoje.
Antrojo pasaulinio karo pėdsakų yra ir gyvenvietės teritorijoje. Paviršiuje aptinkama gilzių, sviedinių skeveldrų, nacistinių ženkliukų ir kt. radinių. Greta 2020 m. tyrinėtos 3 perkasos yra bombų išmušta duobė ir kasti apkasai, tačiau kariniai įtvirtinimai ir karo veiksmai visiškai nepažeidė archeologinio kultūrinio sluoksnio, o tik suardė eolinį smėlį ir miškožemį. Šiuo požiūriu smėlis, nors apsunkina archeologinius tyrimus šiame objekte, tačiau kartu padėjo ilgus šimtmečius išlaikyti nepažeistą kultūrinį sluoksnį.
2. Archeologiniai lauko tyrimai ir jų rezultatai
2.1. Kraštovaizdžio žvalgymai
Piliakalnio aplinkos žvalgymų tikslas buvo identifikuoti greta esančius vienalaikius arba kito laikotarpio archeologinius objektus, taip pat tiksliau nustatyti kultūrinio sluoksnio paplitimą ir pažinti paleoaplinką.
Dėl vietovės specifikos aplinka žvalgyta georadaru ir kalamaisiais geologiniais grąžtais. 2017 ir 2018 m. piliakalnio aikštelėje ir aplinkoje buvo sukaltas 101 grąžtas, georadaru žvalgytas 34 000 m2 plotas ir atlikti 36 geofizikiniai profiliai (5 pav.; Urbonaitė-Ubė, Ubis, 2018, p. 115; Urbonaitė-Ubė ir kt., 2019, p. 83).

5 pav. 2018 m. geofizikinių tyrimų ir 2017–2018 m. kaltų geologinių grąžtų planas (sud. M. Urbonaitės-Ubės)
Fig. 5. Plan of 2018 GPR scanning and drillings of 2017–2018 (drawing by M. Urbonaitė-Ubė).
2017 m. objektas buvo ką tik identifikuotas, buvo neaiški jo chronologija, archeologinio kultūrinio sluoksnio išlikimo laipsnis skirtingose aikštelės dalyse, jo santykis su supančia aplinka. Tad pirmiausia atlikti aikštelės žvalgymai grąžtais. Geologiniai grąžtai (tyrimams naudotas 2 m ilgio grąžtas su 2 cm skersmens gruntotraukiu) kalti viena linija kas 2 m ŠR–PV ir PR–ŠV kryptimis. Tokiu būdu buvo išsiaiškinta kultūrinio sluoksnio situacija ir aikštelėje parinkta vieta žvalgomajai perkasai. Kalama buvo iki 1–2 m gylio, arba iki įžemio. Šioje vietoje įžemiu laikomas rusvo priemolio sluoksnis, kuris giliau pereina į gargždingą molį. Giliausiai įžemis pasiektas pietinėje aikštelės dalyje – jis aptiktas 1,7 m gylyje nuo žemės paviršiaus. Atlikus zondavimą gauti piliakalnio aikštelės pjūviai, kurie parodė, kad yra susidarę tokie sluoksniai: miškožemis, 0,1–1 m storio eolinio smėlio sluoksnis, archeologinis kultūrinis sluoksnis ir įžemis. Kultūrinis sluoksnis išlikęs beveik visoje aikštelėje, tik šiaurės vakarinėje dalyje ir piliakalnio kraštuose jis erodavęs, o po miškožemiu iškart matomas įžemis. Storiausias eolinio smėlio ir kultūrinis sluoksnis aptiktas pietinėje aikštelės dalyje – čia ir buvo parinkta vieta žvalgomajai perkasai.
2018 m. georadaru ir geologiniais grąžtais buvo žvalgoma piliakalnio aplinka ir bandoma išsiaiškinti, ar už piliakalnio aikštelės ribų nėra išlikusio archeologinio kultūrinio sluoksnio ar kitų archeologinių objektų. Georadaru nuskenuota beveik 3 km ilgio atkarpa, sudaryta iš 36 profilių (geofizikinius tyrimus ir duomenų interpretaciją atliko dr. Rokas Vengalis). Skenuota ir grąžtais tikrinta 34 000 m2 teritorija: kalva į šiaurę nuo piliakalnio ir teritorija palei rajoninį kelią Klaipėda–Dargužiai–Karklė (2217) (Urbonaitė-Ubė ir kt., 2019, p. 83). Geofizikiniai tyrimai buvo derinami su geologinių grąžtų kalimu, kai nuskenuotoje atkarpoje, įvertinus pateiktas radarogramas, buvo parinktos vietos kalamiesiems grąžtams. Kalimo intervalai priklausė nuo reljefo ir augalijos ypatybių, radarogramose fiksuotų anomalijų ir siekio tolygiai išžvalgyti teritoriją – laikytasi 15–20 m kalimo intervalo. Kombinuojant šiuos metodus siekta kuo tiksliau išsiaiškinti archeologinio kultūrinio sluoksnio, struktūrų ar objektų buvimo tikimybę.
Šiaurinėje plokščioje kalvoje nei geofizikiniai profiliai, nei geologiniai gręžiniai neparodė jokių priešistorės žmogaus veiklos požymių. Fiksuoti tik jau žinomi Antrojo pasaulinio karo grunto įkasimai ir Girulių parko reliktai (takeliai kalvų šlaituose). Į rytus nuo piliakalnio po miškožemiu ir eolinėmis nuosėdomis fiksuoti durpės ir šlapio smėlio sluoksniai, kurie rodo, kad piliakalnio aplinka buvo drėgna ir šaltiniuota. Kitose vietose aptikti durpingi ir vandeningo pilko smėlio sluoksniai, kurie irgi rodo, kad čia buvusi drėgna vieta. Durpingi sluoksniai fiksuoti tarp eolinio smėlio ir įžeminio smėlio sluoksnių. Nors gręžinių stulpeliuose nepastebėta antropogeninių pėdsakų, tačiau 2022 m. pradėti žvalgomieji tyrimai šioje gyvenvietės dalyje rodo, kad šlapias durpingas sluoksnis iš tiesų yra kultūrinis sluoksnis su retais radiniais2. Vis dėlto 2018 m. neabejotinas archeologinis kultūrinis sluoksnis buvo fiksuotas dviejose vietose į pietus nuo piliakalnio aikštelės: visai greta Litorinos pažintinio tako trasos ir ties vienos iš kalvų pakraščiu.
Koreliuojant radarogramas ir žvalgymų duomenis nustatyta, kad į pietus nuo piliakalnio aikštelės teritorijos reljefas yra labai pakeistas smėlio pustymų. Fiksuotos 3–4 m gylio griovos, kurios šiuo metu reljefe neišsiskiria ir yra užpustytos smėlio. Jos apribojo į pietus nuo piliakalnio esančią kalvą, kurioje ir buvo aptiktas kultūrinis sluoksnis (5 pav.). Taigi žvalgymai parodė, kad šalia piliakalnio yra dar viena teritorija, kurioje fiksuojama antropogeninė veikla. Turimi duomenys rodo, kad šioje vietoje yra didelė vientisa vieno laikotarpio gyvenvietė, kuri buvo įsikūrusi ant dabar jau užpustytos kalvos ir šią komplekso dalį galima įvardyti kaip kalvos gyvenvietę.
2.2. Perkasų tyrimai: gyvenvietės ir gyvensenos pažinimas
Perkasų vietos buvo parinktos pagal žvalgymų duomenis. Piliakalnio aikštelėje 2017 ir 2020 m. ištirtos perkasos Nr. 1 ir Nr. 2 (toliau P1 ir P2), o gyvenvietės teritorijoje 2020 m. – viena žvalgomoji perkasa (toliau P3). Iš viso ardomųjų tyrimų metu ištirtas 45 m2 plotas. Tyrimų metu iš visų aptiktų uždarų objektų buvo imami grunto mėginiai makrobotaniniams tyrimams, rinkta zooarcheologinė medžiaga, mėginiai medžių rūšinei analizei atlikti, atlikta kaulinių dirbinių trasologinė analizė. Taip pat buvo nustatyta 15 AMS 14C datų , surinkti 1 062 archeologiniai radiniai.
Pirmos dvi perkasos buvo tirtos priešinguose aikštelės kraštuose. P1 (2 x 5 m dydžio) vieta parinkta ten, kur kultūrinis sluoksnis buvo storiausias ir apėmė dalį spėjamo pylimo rudimento. Tokiu būdu buvo siekiama surinkti kuo daugiau radinių ir kitos informacijos apie iki tol neaiškios chronologijos piliakalnį. Čia po 50–70 cm storio eolinio smėlio sluoksniu aptiktas 25–80 cm storio archeologinis kultūrinis sluoksnis (Urbonaitė-Ubė, Ubis, 2018, p. 116). Kultūrinis sluoksnis buvo tamsus smulkus smėlis su angliukais, apdegusiais akmenimis ir nemažu kiekiu keramikos fragmentų. Iš dalies atidengus įžemį fiksuotos dvi funkcinės sritys: piliakalnio krašto sutvirtinimas ir pastato fragmentas (6–7 pav.). Tyrimai patvirtino, kad vizualiai matomas pylimo rudimentas iš tiesų ir buvo gyvenvietės krašto sutvirtinimas. Tai buvusi medinė tvora, sutvirtinta žemių ir akmenų sampilu. Tarp akmenų fiksuotos dvi šalia viena kitos vertikaliai priglaustos medinės kuolavietės. Viena 27 cm skersmens kuolavietė buvo visiškai ištirta ir nustatyta, kad kuolai į įžemį buvo suleisti iki 40 cm. Kuolai sutvirtinti iškastu įžemiu ir molingu smėliu su angliukais. Kai kurie pylimo akmenys buvo apdrėbti minėtu molingu gruntu, siekant sutvirtinti pylimą. Pylimo vieta iki įžemio neištirta – visi akmenys ir antroji kuolavietė palikti in situ – tikintis, kad ateityje bus atliktas pylimo pjūvis ir išsiaiškinta tiksli sutvirtinimo morfologija. Pagal perkasos stratigrafiją matuojant nuo įžemio pylimas buvo apie 90–100 cm aukščio. Pagal naujausią publikuotą įtvirtinimų tipologiją (Podėnas ir kt., 2022), Kukuliškių piliakalnio įtvirtinimai skirtini D tipui, kuris identifikuotas 7 objektuose Dauguvos žiotyse ir Šiaurės ir Vakarų Lietuvoje. Tam pačiam tipui priskiriami ir Kurmaičių piliakalnio įtvirtinimai. Medinių tvorų su dvigubomis stulpų eilėmis fragmentų aptikta ir Imbarės piliakalnyje (Daugudis, 1984, p. 20; Daugudis, 1986, p. 20), tačiau dėl plačios chronologijos jie negali būti priskiriami vėlyvajam bronzos amžiui.

6 pav. Perkasos 1 planas pasiekus įžemį ir atidengus įgilintas struktūras (M. Urbonaitės-Ubės planas)
Fig. 6. Plan of trench 1 with features in subsoil (plan by M. Urbonaitė-Ubė).

7 pav. Perkasa 1 iš V atidengus įžemį (M. Urbonaitės-Ubės nuotr.)
Fig. 7. Trench 1 from W with features in subsoil (photograph by M. Urbonaitė-Ubė).
Grįžtant prie žvalgomųjų tyrimų, greta pylimo fiksuotas pastato fragmentas su ugniaviete. Aptiktos keturios įvairaus skersmens (10–32 cm) stulpavietės, kurios sietinos su pastato statramsčiais (6: 2–6 pav.). Vieną stulpavietę nuo ugniavietės skyrė molio juosta. Šis molis turėjo apsaugoti nuo laužo kaitros. Ugniavietė atidengta ir ištirta tik iš dalies (6: 7 pav.). Ji buvo įrengta tiesiai ant įžemio ir įgilinta iki 5 cm. Ugniavietės užpildas buvo labai švarus – aptikti keli nedideli lauko akmenys ir šiek tiek degėsių. Ties perkasos sienele įžemis buvo paveiktas karščio – pakeitęs spalvą ir sukietėjęs.
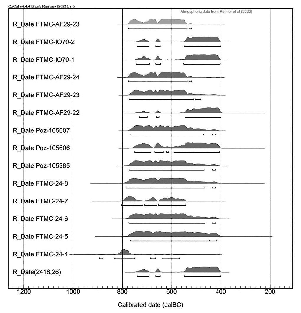
Pirmojo tyrimų sezono esminis uždavinys buvo išsiaiškinti tikslų gyvenvietės datavimą ir apgyvendinimo etapiškumą. AMS 14C datavimui buvo atrinkti 8 mėginiai (8 pav.). Atrinkti sudegę grūdai datuoti Vilniaus ir Poznanės laboratorijose. Gauti rezultatai kalibruoti OxCal v4.4.4 programine įranga ir IntCal20 atmosferine kreive (Bronk Ramsey, 2009; Reimer ir kt., 2020). Iš pylimo kuolavietės datuoti du miežiai (FTMC-24-4: 2603±41, FTMC-24-5: 2467±50), iš ugniavietės – miežiai ir pupa (FTMC 24-6: 2483±40, FTMC 24-7 2540±41, Poz-105385 2480±35), iš kuolavietės šalia ugniavietės ir molio sienelės – miežis ir lęšis (FTMC-24-8: 2496±50; Poz-105606: 2435±35), taip pat viena pupa iš perkasos profilio (Poz-105607: 2475±30). Visos datos patenka į Halštato kalibracinės kreivės išplokštėjimą, todėl rodo plačią chronologinę imtį – VIII–V a. pr. Kr. Vėlesnių tyrimų AMS 14C datos rodo tą patį laikotarpį (8 pav.), todėl kol kas nėra kelis apgyvenimo laikotarpius ar bent skirtingas fazes patvirtinančių duomenų.

8 pav. Kalibruotos AMS 14C datos iš Kukuliškių. Kalibruota OxCal v4.4.4 (Bronk Ramsey 2021) ir IntCal20 atmosferos kreive (Reimer ir kt., 2021)
Fig. 8. Calibrated AMS 14C dates of Kukuliškiai site (Calibrated with OxCal v4.4.4 (Bronk Ramsey 2021) and IntCal20 atmospheric curve (Reimer et al., 2021).
Lygiai tokia pati struktūrinė situacija buvo ištyrus ir P2 šiaurinėje piliakalnio aikštelės dalyje. Pagal 2017 m. atliktus gręžinius buvo aišku, kad šioje aikštelės vietoje nėra išlikusio kultūrinio sluoksnio ir po miškožemiu bus rastas įžemis, kuriame buvo tikimasi aptikti įgilintų objektų. Tik pradėjus tyrimus miškožemyje buvo aptikta skirtingo laikotarpio radinių: bronzos amžiaus keramikos, tarpukario Lietuvos moneta, nacistinės Vokietijos ženkliukas, SSRS gilzių ir pan. Gilinantis buvo patvirtinta, kad eolinės nuogulos ir archeologinis kultūrinis sluoksnis tikrai yra erodavęs, o jo likučiai smarkiai paveikti bioturbacijų ir iš esmės kultūrinis sluoksnis čia yra sunaikintas (Urbonaitė-Ubė, 2021, p. 133). Vis dėlto įžemyje atidengta 11 objektų, kurie suskirstyti į dvi funkcines grupes: gynybinės / apsauginės paskirties ir ūkinės / gyvenamosios (9–10 pav.).

9 pav. Perkasos 2 planas atidengus struktūras (M. Urbonaitės-Ubės piešinys)
Fig. 9. Plan of trench 2 with features in subsoil (drawing by M. Urbonaitė-Ubė).

10 pav. Perkasa 2 iš PV atidengus struktūras (M. Urbonaitės-Ubės nuotr.)
Fig. 10. Trench 2 from SW with features in subsoil (photograph by M. Urbonaitė-Ubė).
Gynybinei / apsauginei priskiriamos stulpavietės (9: 2–7 pav.), kurios buvo grupėmis po tris. Tai 20–49 cm skersmens stulpai, kurie buvo įgilinti į įžemį iki 60 cm. Stulpai buvo nenusmailinti, išskyrus vieną (9: 4 pav.). Visų jų užpildas taip pat vienodas – pilkas smėlis, maišytas su priemoliu. Stulpavietėse aptiktos tik keturios lygiu paviršiumi keramikos šukės (9: 3, 6 pav.). Pagal visus požymius buvo matyti, kad P2 atidengta buvusi piliakalnio tvoros vieta su dviem stulpaviečių grupėmis. Šį teiginį patvirtina tai, kad už šių stulpaviečių kv. 1–2 A–E jokių struktūrų neaptinkama, o šiuose kvadratuose nebuvo aptikta ir kultūrinio sluoksnio rudimentų ar tuo labiau radinių. Kadangi ir 2017 m. aptiktos stulpavietės fiksuotos viena šalia kitos, tad ir 2020 m. atidengtosios tokios pat konfigūracijos sietinos su aikštelės pakraščio sutvirtinimu, nors pylimo čia jau nebelikę.
Ūkinės veiklos ir gyvenamosios paskirties objektams priskirtos įvairaus dydžio duobės (9 : 1, 8a, 8b, 9 pav.). Jos išsiskyrė savo dydžiu, ovaliu taisyklingu pjūviu ir intensyviu juodo ar tamsiai pilko smėlio užpildu, kuriame būta nemažai angliukų ir radinių. Visos duobės ne gilesnės kaip 35 cm. Šios duobės sietinos su buvusiu gyvenamuoju pastatu greta gyvenamąją vietą juosusios tvoros. Tokia pati situacija aptikta ir 2017 m. P1 tyrimų metu: greta tvoros stovėjo pastatas su ugniaviete. Apie gyvenamąją ir ūkinę paskirtį galima šnekėti dėl šioje vietoje gausiai aptinkamų radinių tiek apardytame kultūriniame sluoksnyje, tiek duobėse. Tai keramika, molio tinkas, akmeniniai trintuvai, kurie naudoti grūdams trinti, ir pan. Šiuose objektuose fiksuota perdegusių miežių (Hordeum vulgare), sorų (Panicum miliaceum), dvigrūdžių lukštinių ir paprastų bei kietųjų kviečių (Triticum aestivum, Triticum icoccon), lęšių (Lens culinaris), pupų (Vicia faba) ir kt. kultūrinių augalų sėklų. Iš objekto 8a buvo datuotas miežio grūdas ir vėl gauta vėlyvojo bronzos amžiaus data (FTMC-AF29-22: 2405±28).
Trečioji perkasa – P3, buvo tiriama kalvos gyvenvietėje, ties Litorinos terasos pakraščiu. Vieta perkasai parinkta pagal 2018 m. sukalto geologinio grąžto duomenis, kurie rodė, kad čia yra intensyvus daugiau nei 25 cm storio (įžemio grąžtu pasiekti nepavyko) drėgnas juodo kultūrinio sluoksnio horizontas. Tikėtasi ištyrus žvalgomąją perkasą (2 x 5 m dydžio) pasiekti įžemį, nustatyti kultūrinio sluoksnio storį, būklę ir bent preliminariai nustatyti gyvenvietės zonos paskirtį. Vis dėlto tyrimai šioje vietoje pažėrė daug netikėtumų ir uždavė daugiau klausimų, nei pateikė atsakymų.
Šioje vietoje archeologinė situacija visiškai kitokia nei piliakalnio aikštelėje. Kultūrinis sluoksnis slūgso po storesniu eolinio smėlio klodu (apie 0,7–0,8 m gylyje nuo žemės paviršiaus), jo storis siekė daugiau nei 2 m, o gruntiniai vandenys buvo aukštai. Todėl čia puikiai išlikusi organika ir osteologinė medžiaga, priešingai nei piliakalnio aikštelėje tirtose perkasose.
Stratigrafija taip pat labai skyrėsi nuo pirmų dviejų perkasų. Čia atidengtas ir ištirtas archeologinis kultūrinis sluoksnis siekė 1,10 m storio. Jį sudarė horizontalūs sluoksniai, kurie pasižymėjo kompaktišku rudu / tamsiai pilku smėliu ir labai gausia gerai išsilaikiusia organika, o tarp jų būta švarių, be radinių balkšvo smėlio intarpų. Iš esmės visa stratigrafija buvo sudaryta iš horizontalių susiklosčiusių smėlio ir tamsiai rudo smėlio su organika sluoksnelių (11–12 pav.).

11 pav. Perkasos 3 V sienelės stratigrafija su medinėmis struktūromis (M. Urbonaitės-Ubės nuotr.)
Fig. 11. Stratigraphy of trench 3 W section with wooden structures (photograph by M. Urbonaitė-Ubė).

12 pav. Perkasos 3 R sienelės stratigrafija su medinėmis struktūromis (M. Urbonaitės-Ubės nuotr.)
Fig. 12. Stratigraphy of trench 3 E section with wooden structures (photograph by M. Urbonaitė-Ubė).
Giliau smėlio intarpų vis mažėjo – paskutinis smėlio intarpas aptiktas ties sumestomis lentomis ir akmenų sankaupa. Čia padaugėjo ir pavienių struktūrų bei objektų – kultūrinis sluoksnis tapo intensyvesnis, nors radinių kiekis išliko panašus. Čia aptikta lentų ir akmenų su moliu ir degėsiais sankaupų, kurios interpretuojamos kaip ne in situ įrengti objektai, o patekę į sluoksnį kaip atliekos (Urbonaitė-Ubė, 2021š, p. 17). Iš šios sankaupos buvo datavimui paimtas miežio grūdas ir datuotas 773–510 m. pr. Kr. (FTMC-AF29-23: 2482±28 BP).
Vis dėlto įdomiausios struktūros atidengtos ŠV ir PV perkasos sienelėse – tai puikiai išlikusių medinių struktūrų fragmentai (11–12 pav.). Jas sudarė vertikalūs vienas šalia kito susmeigti kuolai (8–10 cm skersmens), nuo kurių nenulupta žievė, ir tarp jų horizontaliai paguldyti pušiniai rąsteliai (13 cm skersmens) taip pat nenulupta žieve. Šios struktūros orientuotos pietryčių ir pietvakarių kryptimi lygiagrečiai viena su kita ir greičiausiai turėjo sudaryti bendrą struktūrinį junginį. Iš turimų duomenų spėjama, kad čia buvusios medinės tvoros liekanos. Iš perkasos sienelės ties kuolų viršumi buvo paimtas miežio grūdas datavimui ir gauta data vėl įsiterpia į vėlyvojo bronzos amžiaus laikotarpį –777–518 m. pr. Kr. (FTMC-AF29-24: 2497±29 BP). Be to, buvo datuoti galvijo ir avies / ožkos pirštakauliai iš skirtingų P3 stratigrafinių sluoksnių (FTMC-I070-1: 2422±26 ir FTMC-IO70-2: 2418±26 BP), kurių datos vėl rodė vėlyvąjį bronzos amžių: 744–403 ir 741–403 m. pr. Kr. Verta paminėti, kad preparuojant medines struktūras kv. 2E buvo aptikti šeši neapdirbti gintaro gabalai, kurie buvo įsprausti / paslėpti tarp kuolo ir rąstelio – valant fotofiksacijai jie ėmė byrėti tiesiog į rankas. Šie dirbiniai traktuojami kaip gintaro lobis (Urbonaitė-Ubė, 2021š, p. 19).
Dėmesio verta ir stratigrafija šalia medinių kuolų kv. 1A. Matyti, kad smėlio intarpai patenka ant kuolų viršaus taip, tarsi būtų buvę užpilti ar užlieti (13 pav.). Galbūt tai ir gali būti P3 stratigrafijos paaiškinimas. Šioje vietoje galėjo būti užliejama vieta ir smėlio intarpai susiformavo dėl (ne)pastoviai tekančio vandens. O storas kultūrinis sluoksnis su organika (skiedromis, šakomis, medgaliais) susidarė metant čia šias atliekas. Gal tai turėjusi būti tvora ar aptvaro dalis (?). Tačiau kol kas 10 m2 ploto perkasa buvo per maža, kad padėtų atsakyti, kokia funkcinė zona čia buvo. Čia reikia atlikti detaliuosius archeologinius tyrimus ir tiksliai nustatyti medinių konstrukcijų paskirtį ir struktūrą. Taip pat pasiekti įžemį ir matyti visą stratigrafinę situaciją.
3. Radiniai
Bronzos ir ankstyvojo geležies amžiaus keramikos ir kitų dirbinių chronologija Lietuvoje ir aplinkiniuose kraštuose vis dar yra problemiška ir atskiri tipai yra priskiriami labai platiems chronologiniams laikotarpiams, o tai neleidžia tiksliai datuoti ir analizuoti gyvenviečių medžiagos (Vengalis ir kt., 2020, p. 24).

13 pav. Stratigrafija ties medinėmis struktūromis (M. Urbonaitės-Ubės nuotr.)
Fig. 13. Stratigraphy near wooden structures (photograph by M. Urbonaitė-Ubė).
Kukuliškių gyvenvietė, šiuo metu turimais duomenimis, yra vienasluoksnė ir tai, iš vienos pusės, palengvina keramikos ir kitų dirbinių datavimą, tačiau Halštato išplokštėjimo kreivė leidžia ją datuoti tik kelių šimtų metų diapazonu. O to neužtenka norint sudaryti chronologijai jautrios keramikos ir kitų radinių tipologiją. Tačiau tai nesumažina Kukuliškių gyvenvietės radinių vertės, o atvirkščiai – ją suteikia, nes turimas plataus vėlyvojo bronzos amžiaus spektro radinių kompleksas, kas yra itin reta Vakarų Lietuvos bronzos amžiui.
Per tris tyrimų sezonus surinkti 1 062 artefaktai, kurie saugomi Mažosios Lietuvos istorijos muziejuje, daugiau nei 30 tūkstančių makrobotaninių liekanų ir keli šimtai zooarcheologinės medžiagos .
Keraminiai indai Kukuliškių gyvenvietėje sudaro 85 % visų artefaktų (14 pav.). Keramika tipologiškai išskirstyta pagal paviršiaus apdirbimą: brūkšniuota, kruopėta, lygiu ir gludintu paviršiumi. Taip pat pasitaikė indų, kurių paviršiai apdirbti keliais variantais, pavyzdžiui, lygiu ar kruopėtu ir braukuotu paviršiumi ar brūkšniuotu ir kruopėtu (15 pav.; 16: 1–7 pav.). Dominuoja indai lygiu ir kruopėtu paviršiumi – atitinkamai jie sudaro 37 % ir 20 %. Indų profilio formą pavyko nustatyti mažumai pakraštėlių ir jie parodė, kad dominuoja S ir I formos profiliai. Molio masė liesinta grūsto akmens priemaišomis. Jos vienuose fragmentuose smulkesnės, kituose stambesnės. Iš komplekso išsiskiria gludintos redukcinėje aplinkoje degtos keramikos šukės, kurios liesintos smulkiu smėliu (greičiausiai jūriniu), jų sienelės plonesnės nei kitų indų, viduje nėra maisto degėsių.

14 pav. Radinių pasiskirstymas pagal kiekį (sud. M. Urbonaitė-Ubė)
Fig. 14. Quantity of artefacts by type (drawing by M. Urbonaitė-Ubė).

15 pav. Keramikos pasiskirstymas pagal paviršiaus apdirbimą (sud. M. Urbonaitė-Ubė)
Fig. 15. Pottery distribution by surface treatment (drawing by M. Urbonaitė-Ubė).
Keramikos brūkšniuotu paviršiumi nedaug, palyginti su kitomis vėlyvojo bronzos amžiaus gyvenvietėmis Lietuvoje, kur tai dominuojanti keramikos rūšis (Podėnas ir kt., 2016, p. 209, 9 pav.). Vakarų Lietuvoje apskritai brūkšniuota keramika daug rečiau aptinkama ir ji trumpiau naudota ir greičiau išnyko (Grigalavičienė, 1995, p. 220). Vakarų Lietuvos įtvirtintose gyvenvietėse vėlyvojo bronzos amžiaus keramikos aptikta labai nedaug. Kompleksus sudarė brūkšniuota, lygiu ir kruopėtu paviršiumi keramika iš Imbarės, Dapšių, Kurmaičių piliakalnių. Imbarės ir Dapšių piliakalniuose aptikta kelios dešimtys vėlyvojo bronzos amžiaus keramikos, datuojamos I tūkstm. pr. Kr. pabaiga ir mūsų eros pradžia. Kurmaičių brūkšniuota keramika rasta kartu su keramika lygiu paviršiumi bei smulkiai grublėtu (kruopėtu) paviršiumi ir datuojama mūsų eros riba. Lygiu paviršiumi keramika Vakarų Lietuvoje sudaro apie 40–50 % visos keramikos ir istoriografijoje datuojama pagal Imbarės piliakalnio radinius – I tūkstm. pr. Kr. (Grigalavičienė, 1995, p. 221). Kruopėtos keramikos aptinkama Vakarų baltų kultūrinei grupei priskiriamuose laidojimo paminkluose, įtvirtintose ir atvirose gyvenvietėse ir ji taip pat datuojama visu I tūkstm. pr. Kr. laikotarpiu (Vengalis ir kt., 2020, p. 28).
Kaip rodo pateikta medžiaga, iki šiol nebuvo nustatyta tiksli regiono šio laikotarpio keramikos chronologija, tačiau tyrimuose plačiau naudojant AMS C14 datavimą aiškėja, kad kruopėta keramika Užnemunėje naudota apie 405–380 m. pr. Kr. (Piličiauskas, 2012, p. 39), o Kukuliškių gyvenvietės datos rodo 800–400 m. pr. Kr. laikotarpį. Panašu, kad kruopėta keramika pajūryje ir Vakarų Lietuvoje pasirodo anksčiau negu kitur. Tikėtina, kad akstinas atsirasti kruopėtai keramikai galėjo būti kontaktai su Skandinavija arba Lužitėnų kultūra (Gustavsson, 1997, p. 67). Kruopėta keramika su braukomis yra būdinga vėlyvojo bronzos amžiaus keramika vidurio ir šiaurės Švedijoje bei Alandų salose ir vadinama Otterböte tipo keramika (Gustavsson, 1997, p. 107). Apie galimas Lužitėnų ir Skandinavijos įtakas Kukuliškių gyvenvietėje byloja ir žemdirbystės technologijų taikymas (Minkevičius ir kt., 2020), vis dėlto šiai hipotezei pagrįsti reikalingi išsamesni radinių tyrimai.
Kitų grupių radinių (akmeninių, gintaro, kaulinių) kompleksai yra daug smulkesni (16 pav.). Bronzinių dirbinių apskritai neaptikta. Akmeninių dirbinių tyrimų metu aptikta labai nedaug, vos 28 vienetai, ir visi aptikti tiriant P2. Tyrimų metu rasta nedidelių titnaginių nuoskalų ir natūralių titnago luitelių. Panašu, kad titnago būdavo pasirenkama paplūdimyje, nes natūralių, apgludintų vandens titnagų aptikta ir perkasų tyrimų metu, o pakrantės akmenyne nuo Kukuliškių iki Nemirsetos galima tokio titnago aptikti ir dabar. Tiriant P2 įgilintus objektus, ūkinėje duobėje aptikti ir du trinamieji akmenys (16: 9 pav.), o P3 fiksuoti keturi trintuvų fragmentai – įrankiai skirti maistui gaminti ir ruošti.

16 pav. Radiniai iš tyrimų. 1–2 – brūkšniuota keramika; 3 – keramika kruopėtu paviršiumi; 4–5 – keramika kruopėtu braukuotu paviršiumi; 6 – keramika lygiu paviršiumi; 7 – gludinta keramika; 8 – kaulinis smeigtukas trikampe galvute; 9 – trinamasis akmuo; 10 – gintaro lobis; 11 – nenustatytos paskirties medinis dirbinys (M. Urbonaitės-Ubės nuotr.)
Fig. 16. Artefacts from excavations. 1–2 – straited pottery; 3 – rusticated pottery; 4–5 – rusticated pottery with furrows; 6 – pottery with smooth surface; 7 – polished pottery; 8 – bone pin with triangle head; 9 – grinding stone; 10 – amber treasure; 11 – unidentified wooden tool (photograph by M. Urbonaitė-Ubė).
Iš viso surinkti 95 didesni ir mažesni natūralaus gintaro gabalai, kurių didesnė koncentracija fiksuota P1, nors kitose perkasose aptikti didesni gabalai ir nedidelis gintaro lobis (16: 10 pav.).
Kaulinių ir medinių dirbinių aptikta P3, nes tik ten buvo sąlygos jiems išlikti. Tai trijų kaulinių smeigtukų fragmentai ir iš arklio bei stirnos kaulų pagaminti ylos tipo dirbiniai. Išlikusi vieno smeigtuko galvutė leido priskirti jį smeigtukų plokščia trikampe galvute grupei (16: 8 pav.). Tipologiškai Lietuvoje jie datuojami I tūkstantmečio pr. Kr. laikotarpiu (Grigalavičienė, 1995, p. 168).
Neaiškios paskirties medinis dirbinys, įsmeigtas į kultūrinį sluoksnį, buvo aptiktas tiriant P3. Tai smailėjantis iš vientiso medžio masyvo išdrožtas dirbinys su rankena (16: 11 pav.). Tiksli jo paskirtis kol kas nenustatyta. Kiti mediniai dirbiniai buvo įvairūs kuoliukai, apkapoti ir aptašyti rąsteliai. Visi mediniai radiniai perduoti Mažosios Lietuvos istorijos muziejui dar vykstant lauko tyrimams ir ten iki šiol konservuojami.
Išvados
Tęstiniai tarpdisciplininiai tyrimai Kukuliškių gyvenvietėje suteikė naujų duomenų apie vėlyvojo bronzos amžiaus gyvenseną pajūryje ir Pietryčių Baltijos regione. Šių tyrimų pagrindinė idėja buvo suprasti ir išsiaiškinti gyvenvietės struktūrą ir pažinti pajūrio vėlyvojo bronzos amžiaus bendruomenės gyvenseną. Gyvenviečių struktūra ir bendrosios apgyvenimo tendencijos vėlyvajame bronzos amžiuje iki šiol nėra labai aiškūs. Plačiau tirta Luokesų gyvenvietė ir jos struktūra išsamiai analizuota, tačiau tai labiau išskirtinis gyvenvietės tipas, nereprezentuojantis gyvenviečių ir piliakalnių struktūros. Tyrimai parodė, kad vienu laikotarpiu buvo apgyventas ne tik piliakalnis, bet ir greta esanti kalva. Piliakalnio aikštelė buvo apjuosta medinėmis tvoromis ir pylimu, viduje stovėjo pastatai su ugniavietėmis, ūkinėmis duobėmis ir radiniais. Tyrimais nustatyta, kad 1,98 ha ploto kalvos gyvenvietė buvo apribota giliomis griovomis, kurios dabar yra užpustytos ir kraštovaizdyje neišsiskiria. Taip pat kol kas nėra duomenų teigti, kad ši gyvenvietė buvo dar papildomai įtvirtinta. Kalvos gyvenvietės teritorijos zonavimas kol kas neaiškus. Trečioji perkasa rodo, kad čia vykusi intensyvi ūkinė veikla, palikusi daugiau nei 2 m storio kultūrinį sluoksnį. 2022 m. yra tęsiami archeologiniai tyrimai kalvos gyvenvietėje ir tikimasi, kad šie tyrimai pateiks daugiau duomenų apie gyvenvietės struktūrą ir gyvensenos ypatumus.
Apskritai Lietuvos ir pietryčių Baltijos regione Kukuliškių piliakalnis su gyvenviete yra išskirtinis ir unikalus bronzos amžiaus objektas. Kukuliškių gyvenvietės tyrimų kompleksiškumas ir apimtis atveria galimybes ne tik pažinti vėlyvojo bronzos amžiaus bendruomenės gyvenseną lokalioje teritorijoje (piliakalnio aikštelėje), bet ir ateityje turėti sistemingą gyvenvietės struktūros vaizdą. Taip pat neabejotinas išskirtinumas yra tai, kad gyvenvietė nebuvo naikinama, o kultūrinis sluoksnis puikiai išlikęs po eolinėmis nuosėdomis. Aptiktos medinės konstrukcijos, organiniai artefaktai ir ekofaktai rodo, kad čia susidariusios puikios organikos išlikimo sąlygos, o tokių priešistorės objektų Lietuvoje yra vos keliolika. Tad šis objektas ir tyrimų duomenys atveria išskirtines galimybes tirti bronzos amžiaus gyvenseną ne tik Lietuvos pajūryje, bet ir pietryčių Baltijos regione.
Literatūra
Bronk Ramsey C. 2009. Bayesian analysis of radiocarbon dates. Radiocarbon, 51/1, p. 337–360.
Čivilytė A., Duberow E., Pernicka E. 2015. His left foot: A new investigation of the oriental Bronze Age figurine from Šernai (Western Lithuania) and the question of its authenticity. Germania, 93, p. 97–121.
Daugudis V. 1984. Imbarės piliakalnio ir gyvenvietės tyrinėjimai. Archeologiniai tyrinėjimai Lietuvoje 1982–1983 metais, p. 20–22.
Daugudis V. 1986. Imbarės piliakalnio ir gyvenvietės kasinėjimai. Archeologiniai tyrinėjimai Lietuvoje 1984–1985 metais, p. 20–22.
Demereckas K. 2014. Klaipėdos istoriniai parkai ir želdiniai. Klaipėda: Libra Memelensis.
Franz E. 1910. Illustrierter Fuhrer durch Seebad Forsterei bei Memel. Memel: Gedruckt bei F.W. Siebert.
Genys J. 2012. Žardė: A Medieval Curonian Trade and Craft Centre. G. Zabiela, Z. Baubonis ir E. Marcinkevičiūtė (eds.) Archaeological Investigations in Independent Lithuania 1990–2010. Vilnius: Lietuvos archeologijos draugija, p. 44–49.
Grigalavičienė E. 1995. Žalvario ir ankstyvasis geležies amžius Lietuvoje. Vilnius: Mokslo ir enciklopedijų leidykla.
Juodagalvis V., Merkevičius A., Nemickienė R., Remeikaitė L., Šatavičius E., Zabiela G. 2018. Ankstyvojo metalų laikotarpio gyvenvietės Lietuvoje. Vilnius: Vilniaus universiteto leidykla.
Kraniauskas R. 2011. Kuršių gyvenvietės Palangos dvaro sodybos teritorijoje. Archeologiniai tyrinėjimai Lietuvoje 2010 metais, p. 45–60.
Masiulienė I. 2012. The Žardė – Bandužiai Archaeological Complex. G. Zabiela, Z. Baubonis ir E. Marcinkevičiūtė (eds.) Archaeological Investigations in Independent Lithuania 1990–2010. Vilnius: Lietuvos archeologijos draugija, p. 50–56.
Masiulienė I. 2018. Žardės-Laistų-Bandužių archeologinis kompleksas: ūkinės-gamybinės veiklos aspektai. A. Bliujienė (sud.) Klaipėdos (Memel) kraštas: nuo ištakų iki XVII amžiaus. Klaipėda: Mažosios Lietuvos istorijos muziejus, p. 255–268.
Merkevičius A. 2022. The emergence of fortified settlements in Bronze Age Lithuania. A new model. D. Hofmann, F. Nikulka, R. Schumann (eds.) The Baltic in the Bronze Age. Regional Patterns, Interactions and Boundaries. Hamburg: Sidestone Press, p. 219–230.
Merkevičius A. 1980. Kurmaičių (Kretingos raj.) piliakalnis. Archeologiniai tyrinėjimai Lietuvoje 1979–1980 metais, p. 20–22.
Merkevičius A. 1982. Kurmaičių piliakalnio tyrinėjimai. Archeologiniai tyrinėjimai Lietuvoje 1980–1981 metais, p. 27–28.
Merkevičius A., Muradian L. 2016. Ankstyviausi žirgų palaikai laidojimo objektuose Lietuvoje. Archaeologia Lituana, 16, p. 28–39. https://doi.org/10.15388/ArchLit.2015.16.9841.
Minkevičius K., Podėnas V., Urbonaitė-Ubė M., Ubis E., Kiselienė D. 2020. New evidence on the southeast Baltic Late Bronze Age agrarian intensification and the earliest AMS dates of Lens culinaris and Vicia faba. Vegetation History and Archaeobotany, 29/3, p. 327–338.
Muradian L. 2017. Vėlyvojo žalvario ir ankstyvojo geležies amžiaus laidosena ir visuomenė Šiaurės vakarų Lietuvoje. Archaeologia Lituana, 18, p. 47–77. https://doi.org/10.15388/ ArchLit.2017.18.11689.
Piličiauskas G. 2012. Lietuvos neolito ir ankstyvojo metalų laikotarpio chronologija naujų radiometrinių datų šviesoje. Lietuvos archeologija, 38, p. 11–52.
Podėnas V. 2020. Tarp žinių ir spėjimų: kylanti diskusija apie baltų piliakalnius. Archaeologia Lituana, 21, p. 176–187.
Podėnas V. 2022. Įtvirtintos gyvenvietės Rytų Baltijos regione 1100–400 cal BC. Daktaro disertacija. Vilnius: Vilniaus universitetas.
Podėnas V., Luchtanas A., Čivilytė A. 2016. Narkūnų piliakalnių ir papėdės gyvenvietės keramika: elgsenos atspindžiai. Lietuvos archeologija, 42, p. 191–241.
Podėnas V., Minkevičius K., Micelicaitė V., Čivilytė A. 2022. Fortify to develop contacts? A review of Late Bronze Age defensive systems in the East Baltic and new data from Mineikiškės fortified settlement. V. Vaitkevičius ir A. Bliujienė (sud.) Atrasti praeitį. Išsaugoti ateičiai. Straipsniai, skirti Gintauto Zabielos 60-mečiui. Klaipėda: Klaipėdos universiteto leidykla, p. 218–240.
Reimer P. J., Austin W. E., Bard E., Bayliss A., Blackwell P. G., Ramsey C. B., Butzin M., Cheng H., Edwards R. L., Friedrich M., Grootes P. M. 2020. The IntCal20 Northern Hemisphere radiocarbon age calibration curve (0–55 cal kBP). Radiocarbon, 62/4, p. 725–757.
Tamulynas L. 1998. A. Bezzenbergerio archeologiniai tyrinėjimai Klaipėdos krašte. Lietuvos archeologija, 15, p. 247–286.
Urbis A. 2017. Tyrimas: geologija ir geomorfologija. Karklės atlasas [interaktyvus]. Prieiga per internetą: https://karklesatlasas.lt/2017/09/01/geologija-ir-geomorfologija/ [žiūrėta 2022 m. gegužės 19 d.].
Urbonaitė-Ubė M. 2021. Kukuliškių piliakalnio su gyvenviete tyrimai. Archeologiniai tyrinėjimai Lietuvoje 2020 metais, p. 132–138.
Urbonaitė-Ubė M., Ubis E. 2018. Kukuliškių piliakalnis. Archeologiniai tyrinėjimai Lietuvoje 2017 metais, p. 115–119.
Urbonaitė-Ubė M., Vengalis R., Ubis E. 2019. Kukuliškių piliakalnio aplinkos žvalgymai. Archeologiniai tyrinėjimai Lietuvoje 2018 metais, p. 82–87.
Vengalis R. 2009. Rytų Lietuvos gyvenvietės I–XII a. Daktaro disertacija. Vilnius: Vilniaus universitetas.
Vengalis R. 2020. Recenzija. Algimantas Merkevičius (sud.) 2018. Ankstyvojo metalų laikotarpio gyvenvietės Lietuvoje. Lietuvos archeologija, 46, p. 305–308.
Vengalis R., Piličiauskas G., Pilkauskas M., Kozakaitė J., Juškaitis V. 2020. The large-scale rescue excavation of the multi-period site at Kvietiniai sheds light on the so far little explored Bronze Age in Western Lithuania. Archaeologia Baltica, 27, p. 19–52. https://doi.org/10.15181/ab.v27i0.2176
Zabiela G. 2017. Kukuliškiai, Klaipėdos r., Kretingalės sen. Z. Baubonis, D. Stončius, E. Šatavičius, G. Zabiela. Lietuvos piliakalniai. Atlasas, t. IV. Vilnius: Lietuvos archeologijos draugija, p. 98–101.
Žulkus V. 1999. Palangos priešistorė ir viduramžiai archeologo akimis. V. Žulkus (sud.) Palangos istorija. Klaipėda: Libra Memelensis, p. 11–78.
Žulkus V. 2004. Kuršiai Baltijos jūros erdvėje. Vilnius: Versus aureus.
Žulkus V. 2007. Palanga in the Middle Ages. Ancient Settlements. Vilnius: Versus aureus.
Multidisciplinary Research in Late Bronze Age Kukuliškiai Settlement (Klaipėda District): Methods and Primary Results
Miglė Urbonaitė-Ubė
Summary
Kukuliškiai archaeological site (Klaipėda district, Lithuania) was discovered in the summer of 2016 and has been systematically analysed since 2017. Site consists of the Kukuliškiai hillfort and hilltop settlement. The archaeological complex is located on a promontory of the Littorina Sea terrace, just 400 metres from the Baltic Sea, bounded by deep headlands and two unnamed streams on both the northern and the western sides (Fig. 1). The southern part is separated by a deep ravine and the western slope is on the border between the dunes and the sea. Archaeological investigations at the hillfort showed that it is a Late Bronze Age site. During the 2017–2018 and 2020 excavations, new data on the previously little researched Bronze Age communities of the coastal Lithuania was obtained. The various methods used during the research have provided important and diverse information on the lifestyle of this community and palaeoenvironmental features. The aim of this paper is to present the research methods and the primary results of the 2017–2020 excavations.
Aeolian sand layers are one of the most essential stratigraphic elements of the northern coast Lithuania. They have been found during archaeological investigations in Klaipėda, Palanga, part of Šventoji and Būtingė. The most significant sand deflation took place in the 18th century, when the coastal stretch from Klaipėda to Šventoji was covered by the aeolian sands of the Curonian Spit (Fig. 2–4). The sand changed not only the natural landscape but also the cultural landscape. Therefore, the landscape of the Kukuliškiai has been significantly altered and visual surveys here are ineffective method. Thus, GPR and borehole drills were used to survey the environment of Kukuliškiai.
In 2017 and 2018, 101 boreholes were drilled on the hillfort and in the surrounding area. GPR surveys were carried out in area of 34 000 m2 and 36 geophysical profiles were obtained (Fig. 5). The information of drilling allowed to create preliminary stratigraphy of the hillfort and to discover a hilltop settlement. The layers on a hillfort were forest soil, a 10–100 cm thick aeolian sand, an archaeological cultural layer and subsoil. The hill to the north of the hillfort and the area along the regional road Klaipėda–Dargužiai–Karklė were scanned with GPR and inspected with drills. On the northern hill, neither geophysical profiles nor geological drills showed any signs of prehistoric human activity. A definite archaeological cultural layer was recorded to the south of the hillfort: right next to the Littorina Sea nature trail, at the edge of the terrace. The GPR revealed that territory in concern before the sand deflation was a hill bounded with deep gullies. These landscape elements are now buried under 3–4 metres of aeolian sand and not visible in the terrain. This hill settlement was occupied by the same community and at the same time as the hillfort.
The locations of the excavations were chosen on the basis of the previous survey data. In 2017 and 2020, trenches 1 and 2 were excavated on the hillfort, and trench 3 was excavated on the hilltop settlement in 2020. During the excavations, soil samples for macrobotanical analyses, zooarchaeological material, samples for tree species analysis, and tracer analysis of bone artefacts were taken from all the excavated enclosed objects. In addition, 15 AMS C14 dates were carried out and 1062 archaeological finds were collected (Fig. 8).
In trench 1 (2 × 5 m in size), an archaeological cultural layer of 25–80 cm thick was found under a 50–70 cm thick layer of aeolian sand, and a mound edge reinforcement and a fragment of a building were recorded in the ground (Fig. 6–7).
Trench 2 (5 × 5 m) was investigated in the northern part of the hillfort, where there is no preserved cultural layer and the subsoil is covered by the forest floor. Immediately after the start of excavations artefacts from Second World War and Bronze Age were collected. This fact demonstrates that the aeolian deposits and the archaeological cultural layer have been eroded and the cultural layer has been essentially destroyed. However, defensive and utilitarian features have been uncovered in the subsoil (Fig. 9–10). The defensive ones include the postholes. All of them were filled with grey sand mixed with loam. The pits of various sizes were classified as utilitarian. They were distinguished by their size, oval regular section and intense black or dark grey sand fill. These pits are associated with a former dwelling adjacent to the fence surrounding the hillfort.
Trench 3 was investigated in the hilltop settlement, on the edge of the Littorina terrace. The cultural layer here lies beneath a thicker aeolian sand bed (about 70–80 cm below the ground surface), which is more than 2 m thick and the ground water is high. The organic and osteological material is therefore well preserved. The north-western and south-eastern walls of the excavation contain fragments of well-preserved wooden structures (Fig. 11–13). The available data suggest that these are the remains of a former wooden fence.
Ceramic vessels, stone, bone and wooden artefacts, and pieces of natural amber have been found in the Kukuliškiai complex. Ceramic vessels make up 85% of all artefacts (Fig. 14). The pottery is typologically differentiated according to the surface treatment: striated, fine-rusticated, plain, brushed and burnished surfaces (Fig. 15–16: 1–7). There were also vessels with several surface treatments, e.g., plain surface with rustication, or rusticated with furrows. Pottery with plain and rusticated surfaces dominate, accounting for 37% and 20%, respectively. The shape of the profile of the vessels could be determined for a minority of the rims and showed that S and I shaped profiles predominate. Only 28 pieces of stone artefacts were recovered. Small flint sediments and natural flint flakes and rubbing stones (Fig. 16: 9) were recovered during the investigations. A total of 95 larger and smaller pieces of natural amber were collected, with a higher concentration recorded at trench 1, although larger pieces and a small amber hoard were found in trench 3 (Fig. 16: 10). Bone and wooden artefacts were found at trench 3, as this was the only place where the conditions were right for their survival. These include fragments of three bone pins (Fig. 16: 8) and two awl-type pieces made of horse and deer bones and unidentified wooden artefact (Fig. 16: 11).
In Lithuania and the south-eastern Baltic region, the Kukuliškiai hillfort with hilltop settlement is an exceptional and unique Bronze Age site. The complexity and scope of the research on the Kukuliškiai provides opportunities for the study of the Late Bronze Age community life. The discovery of wooden structures, organic artefacts and ecofacts indicates that the site provides excellent conditions for the survival of organics, of which there are only a dozen in Lithuania. The site and the research data therefore offer exceptional opportunities for the study of Bronze Age life not only on the Lithuanian coast but also in the south-eastern Baltic region. Further archaeological research has a great potential for the discovery of unique and hitherto unknown material in Lithuania.
1 Tyrimai tęsiami ir 2022 m. Jų rezultatai bus skelbiami atskirose publikacijose.
2 Šiuo metu vykstantys archeologiniai tyrimai Kukuliškių gyvenvietėje suponuoja, kad gręžiniuose aptikti durpės sluoksniai yra archeologinis kultūrinis sluoksnis, tačiau jame mažiau radinių ir antropogeninės kilmės pėdsakų. Todėl iki šių metų durpingi sluoksniai ir buvo laikomi natūraliai susiklosčiusiais. Šis faktas rodo ir tai, kad gręžinių duomenys turi būti tikrinami atidengiant didesnius plotus, norint įsitikinti gautos stratigrafinės situacijos patikimumu.