Problemos ISSN 1392-1126 eISSN 2424-6158
2024 Priedas, pp. 45–57 DOI: https://doi.org/10.15388/Problemos.Priedas.24.4
Monika Morkūnaitė
Institute of Philosophy
Vilnius University
Email monika.morkunaite@yahoo.com
ORCID 0000-0002-1580-4752
Abstract. Modalism, a philosophical theory positing that modal concepts such as possibly and necessarily are primitive and unanalysable, stands in contrast to possible worlds semantics, which analyses modal notions through a quantificational framework. This article examines the core tenets of modalism, building upon works by Arthur Prior, Kit Fine, and Graeme Forbes. The article then addresses criticisms from figures like David Lewis, who holds that taking modal idioms as primitive does not count as genuine theorising, and Joseph Melia, who argues that modalist language implicitly mimics possible worlds semantics. The article suggests that modalist formalisations draw from natural language instead of making implicit use of possible worlds semantics. It further highlights that modalism provides a more intuitive understanding of modal concepts compared to possible worlds semantics.
Keywords: modalism, possible worlds semantics, modal semantics, natural modalising
Santrauka. Modalizmas, arba filosofinė teorija, teigianti, kad modalinės sąvokos, tokios kaip galima ir būtina, yra neredukuojamos ir neanalizuojamos, reikšmingai skiriasi nuo galimų pasaulių semantikos, kur modalinės sąvokos interpretuojamos kaip galimų pasaulių kvantifikavimas. Straipsnyje nagrinėjami pagrindiniai modalizmo principai, remiantis šią teoriją plėtojusių Arthuro Prioro, Kito Fine’o ir Graeme’o Forbeso darbais. Tuomet aptariama tokių mąstytojų kaip Davidas Lewisas, kuris teigia, kad antireduktyvizmas modalumų atžvilgiu apskritai nelaikytinas teorine prieiga, bei Josephas Melia, kuris tvirtina, jog modalizmas implicitiškai mėgdžioja galimų pasaulių semantiką, kritika. Straipsnyje įrodinėjama, kad formali modalizmo kalba grindžiama ne kuo kitu, kaip natūralia kalba, ir kad modalizmas nesiremia galimų pasaulių semantika. Be to, pabrėžiama, kad modalizmas siūlo intuityvesnį modalinių sąvokų supratimą, lyginant su galimų pasaulių semantika.
Pagrindiniai žodžiai: modalizmas, galimų pasaulių semantika, modalinė semantika, modalinių išraiškų vartojimas natūralioje kalboje
_______
Received: 02/10/2024. Accepted: 25/11/2024
Copyright © Monika Morkūnaitė, 2024. Published by Vilnius University Press.
This is an Open Access article distributed under the terms of the Creative Commons Attribution Licence (CC BY), which permits unrestricted use, distribution, and reproduction in any medium, provided the original author and source are credited.
At the heart of modalism lies a fundamental principle: modal concepts, such as possibly and necessarily, are unanalysable. In this regard, the modalist stands in opposition to the possible worlds semanticist who advocates for the analysis of modal notions through the quantificational framework of possible worlds1,2. Generally speaking, modalists posit that modal terms are inherently primitive and resistant to any further analysis or explanation. This core maxim of the modalist account has been aptly summarised by Stephen McLeod (2008: 184–185):
On a standard modalist view of alethic modality, <...> the modal operators are not reducible to quantifiers over possible worlds or otherwise reducible or eliminable. Rather, they are syntactically and semantically primitive. Their grammar is not captured by some other syntactic device, such as quantification, and nor are the semantic contents of the claims that use of the modal operators enables us to make.
Under the modalist view, then, modal sentences are subject to homophonic truth conditions wherein modal operators figure. For instance, “There could have been a talking donkey” is true iff there could have been a talking donkey (see Wang 2021: 1890). In other words, “There could have been a talking donkey” simply conveys the truth that there could have been a talking donkey, and not the truth that there is at least one possible world in which such a donkey exists. As articulated by John Divers (2007: 78), the underlying idea is that modal truths are “both perfectly objective, and metaphysically perspicuous as they stand.”
What this means is that, under modalism, modal truths merit the same treatment as the so-called categorical truths (truths about how things actually are). Modalists believe that we should not feel the need to reduce “There could have been a talking donkey” or “It is possible that there are unicorns” just as we do not feel the need to reduce “There are horses.” That is, they believe that modal truths stand on their own and that we need them to tell the full story of the world, because no number of categorical truths suffices to do it (hence the name ‘modalism’3)4.
In the words of Jennifer Wang (2021: 1887), modalism (together with other forms of modal primitivism)5 and modal reductionism constitute two broad alternatives with regard to the controversy over the explanatory status of modal truths. Reductionists assert that modal truths can be reduced to, or explained by, purely non-modal frameworks, while primitivists argue that such reduction is untenable.
One of the most – if not the most – renowned reductionist theories of modality, without a doubt, remains David Lewis’ modal realism, where non-modally defined possible worlds explain modal claims via reduction6. Other forms of reductionism include variants of conventionalism or alternative possible worlds discourse-based accounts7. Various reductionist conceptions, however, did not develop in isolation but faced opposition from primitivist viewpoints. Previous decades witnessed the emergence of positions accepting the primitive nature of modal notions, with modalism standing out as the most prominent. That said, it would not be entirely accurate to state that the modalist view has attracted widespread scholarly attention or substantial research devoted to it. This article, therefore, is an attempt to bring this theory back into the spotlight by underlining both its historical significance and potential to stimulate deeper debates concerning the nature of modal concepts.
More specifically, in this article, I would like to 1) provide a brief characterisation of the main modalist principles, 2) offer a response to two prominent objections to modalism, and 3) highlight the strength of this theory, especially when contrasted with the possible worlds framework.
An early version of modalism was laid out in Worlds, Times and Selves – a book that Arthur Prior was assiduously working on yet did not manage to complete before his death. The task Kit Fine undertook was to integrate various published and unpublished pieces by Prior, filling in the missing parts and giving the book a finalised form. The main objective of the book, as articulated by Fine (Prior and Fine 1977: 7), “was to show that modal and tense logic could stand on their own, that talk of possible worlds or instants was to be reduced to them rather than the other way round.” In the postscript, Fine (ibid.: 116) elaborates on one of the fundamental theses in Prior’s conception of modality: the idea that ordinary modal idioms (such as possibly and necessarily) are primitive – a view called by Fine modalism or priority.
Meanwhile, the first systematic attempt to actually defend modalism has been put forth by Graeme Forbes. First, in his book The Metaphysics of Modality, he offers a critique of the realist position concerning possible worlds semantics. According to Forbes (1985: 74), when interpreted realistically, possible worlds talk presents a ‘disturbing feature’: it introduces specific entities – possible worlds – that modal sentences themselves apparently do not introduce. Furthermore, Forbes argues that both concretist and abstractionist interpretations of possible worlds8 face the Benacerrafian challenge, which raises questions about how we can claim knowledge about objects beyond our sensory experience (ibid.: 79).
Forbes (ibid.: 80–81) intends to demonstrate that the relationship of synonymy between expressions in possible worlds language and those in modal language (i.e., language featuring primitive modal operators)9 fundamentally favours the latter with asymmetry. What this means is that a possible worlds sentence does not convey its meaning independently; rather, the meaning of a possible worlds sentence is derived from its expression in modal language, such that, for example, (∃w)P(w) has the meaning attributed to it by ◊P.
Forbes (ibid.: 89–95) then goes on to consider a problem that arises from this perspective. Specifically, if we claim that each possible worlds sentence gets its meaning from a synonymous modal sentence, we are effectively eliminating the need for possible worlds as part of our ontology. Such elimination is possible only if every meaningful possible worlds sentence can be converted into a meaningful modal sentence. The issue, though, is that certain possible worlds sentences appear meaningful but are, at least on the face of it, not translatable into modal language. An example of such a sentence is given by Allen Hazen (1976: 38):
(1) (∀w)(∃x)(E(x, w) & E(x, w*))10
The sentence says that, in every possible world, there exists some object that also exists in the actual world. The same sentence, as Forbes notes, has a perfectly natural English rendering – “Necessarily, some actual object exists.” How can we translate this into modal language? As suggested by Hazen himself, modal language can be augmented with the actuality operator A and express (1) as
(2) □(∃x)A(E(x))
Yet, there are more difficult cases. Consider
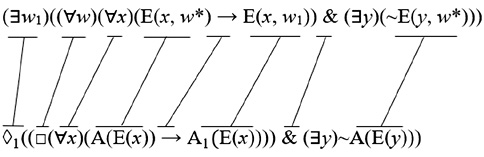
(3) (∃u)(∀w)(∃x)(E(x, w) & E(x, u))
Forbes states that it is tempting to render (3) in English as “It could have been that necessarily, something is actual”11. The question is how to convey this sentence in a language with primitive modal operators, when we want to express the principle that ‘actual’ refers back to the initial ‘it could have been that’. That is, the question is how to structure such a sentence in modal language in such a way that ‘it could have been that’ can bind ‘actual’, which is not immediately within its syntactic scope. To do so, Forbes adopts a technique of indexing operators with numerical subscripts – a device he borrows from Christopher Peacocke (1978)12. The method is employed when one wants to indicate for the inner modal operators exactly those outer modal operators within whose semantic scope the inner operators are intended to occur (cf. Divers 1999: 341).
By indexing the possibility operator and the actuality operator, we can transform (3) into
(4) ◊1□(∃x)A1(E(x)),
which conveys the idea that it could have been that, necessarily, something is actual. As we can see from this formulation, it is clear that ‘actual’ is bound with ‘it could have been that’, just like intended. Thus, at least for the sentences in question, the problem appears to be resolved: even complex expressions framed in terms of possible worlds can be successfully translated into modal language.
Having outlined the core principles of modalist language, Forbes continues his elucidation of modalism in his work Languages of Possibility. Here, he explicitly criticises the view that modal operators should be regarded as quantifiers. While providing a plausible rationale for this perspective, Forbes (1989: 84–85) claims that it is ‘extravagant’ to suppose that, when talking about possibilities, we truly intend to quantify over them. According to Forbes, expressions like ‘There is a possibility that P’ merely serve as elaborate synonyms for ‘Possibly, P’, with the latter holding semantic primacy. He posits that ‘it’ and ‘there is’ in phrases such as ‘It is a possibility that P’ or ‘There is a possibility that P’ simply function as demonstratives, referencing either the sentence-token, the proposition, or the state of affairs13.
In other words, Forbes maintains that there is nothing in such discourse that commits us to the existence of a specific entity x – a possibility – which we would need to identify with a certain proposition, sentence-token, and so on; the only entity involved, according to him, is the proposition, sentence-token, etc., itself. When we say that ‘There is a possibility that P’, what we really do is not quantify over possibilities – we simply make a ‘verbal gesture’ to a modalised sentence-token/proposition/state of affairs P. Hence, Forbes suggests that our mere capacity to discuss what is possible does not commit us to the existence of possibilities as such, let alone complete ones called possible worlds.
Indeed, Forbes criticises possible worlds semantics on the basis that it embodies a kind of holism regarding the grounds of possibility, since, within this framework, the truth of ◊A cannot be explained without comprehending the state of affairs associated with A as embedded within a complete way things could have been. What underlies this holism? Forbes claims that it may find justification in combinatorialism, which posits that ◊A holds true if there exists an arrangement or combination of objects, properties, and relations that makes A true; a stricter interpretation would demand all such combinations to be total. Yet, Forbes states that this raises a difficulty for combinatorialism in how to exclude combinations that correspond to no possible world (e.g., one assigning both ‘green all over at t’ and ‘red all over at t’ to the same entity)14. In the face of such challenges, Forbes contends that it is implausible to think that holism could be properly justified (ibid.: 111)15, 16.
Despite Forbes’ sophisticated presentation of modalism, the theory has remained largely marginalised within contemporary modal logic and the philosophy of modality: the majority of philososphers have taken the route of analysing modal notions through quantification over possible worlds. Not only has modalism remained a minority position in the face of the dominance of the possible worlds framework, but it has also attracted fierce objections from critics. Joseph Melia stands as perhaps the most vehement opponent of modalism, although a more general discontent with the theory has also been expressed by other authors, including David Lewis. This section will address both Melia’s and Lewis’ key criticisms, commencing with that of the latter.
Hostility towards the principal tenet of modalism has been expressed even before the initial presentation of the modalist theory within the work of Prior and Fine. This hostility pertains to Lewis, with his main point being that a non-reductionist stance with respect to modal notions fails to constitute a serious theory of modality. As Lewis (2001 [1973]: 85) puts it, taking modal idioms as unanalysed primitives is simply “an abstinence from theorizing.” Now, this objection appears to reflect a broader sentiment of dissatisfaction with the apparent triviality of the modalist view. Some seem to complain that modalists are exhibiting a certain kind of intellectual dishonesty: they want their view to be regarded as a serious theory when all they do is stipulate a certain discourse as being primitive (thereby avoiding any burden of explaining it) (cf. Borghini 2016: 79–80).
Be that as it may, the concern at hand is based on the controversial presupposition that only reductionist perspectives merit recognition as genuine theories17. Initially, this position may appear somewhat intuitive: for a viewpoint to count as a theory, we anticipate it to offer an explanation and an augmentation of our existing understanding regarding certain phenomena, and this is usually achieved through reduction. Yet, there remains a question of whether we should impose this expectation uniformly across all theoretical frameworks, especially within the context we are currently exploring. Perhaps there are phenomena that simply resist reductionist analysis, and theorising about them must adopt alternative approaches. The modalist view precisely maintains that modality is one such phenomenon due to the fact that modal concepts rank among the most fundamental ones in our conceptual system (cf. Dresner 2002: 433).
In fact, it could even be argued that a reductionist stance proves inferior to the primitivist one in the sense that, by reducing the complexity of the studied phenomena, it actually oversimplifies their intricacies and thereby leads to a somewhat distorted view. Alessandro Vercelli (1997: 285), for example, claims that, in most scientific disciplines, way may often distinguish between two divergent theoretical paradigms: the reductionist approach, which seeks to reduce complex occurrences, and an alternative non-reductionist stance, which maintains that reductionism overlooks or misinterprets some crucial facets of actual phenomena.
Now, this may portray non-reductionist perspectives as mainly reactive, but it does not seem to scathe their theoretical credibility. Naturally, if non-reductionists do not think that any type of reductive analysis must be pursued, their primary task becomes defending their position against reductionist methodologies; as illustrated in the previous sections, this principle also applies to modalism to a significant extent. Alongside other primitivist perspectives on modality, modalism frequently arises from a critical assessment of the limitations of reductionist positions. However, as pointed out by McLeod (2018 [2001]: 28), this argumentative foundation is exactly what makes these perspectives count as genuine theories. As long as these viewpoints are argued for by using clear-cut arguments, they may be rightfully claimed to be established through theorising.
Indeed, this is the exact reason why modalists do not provide an analysis of modal notions – the very goal of their project is to show that this is not feasible. One may, of course, disagree with the modalist at this point by giving reasons for why a reduction of modality is both feasible and preferable, yet the very fact that modalism does not analyse modal notions does not in itself demonstrate that it fails to be a serious theory of modality. In other words, holding that the theoretical basis of modalism is defective on the grounds that it postulates primitive modality ultimately appears to do nothing more than beg the question, and hence it can be concluded that the Lewisian complaint does not constitute any real harm to this stance.
Another prominent challenge to modalism stems from the view that modalist language lacks suitable resources to formalise certain modal expressions. As shown within the previous section, some expressive limitations of modalist language were reflected on by Forbes himself, and specific instruments – such as indexed operators – have been introduced to overcome these difficulties. Nevertheless, critics argue that modalist language so enriched makes implicit use of possible worlds semantics, which makes it merely a notational variant of quantification over worlds.
An objection of this sort has been presented by Melia. Precisely, Melia (2003: 92–97) worries that modalist language featuring indexed modal operators is nothing other than a notational variant of a first-order language that quantifies over worlds. To corroborate his point, Melia (ibid.: 93) draws our attention to both the possible worlds and the modalist formalisations of the sentence “There could have been more things than there actually are” and points out their structural parallels:

Melia (ibid.) claims that the structural and grammatical similarities between these sentences are so ‘striking’ that modalist language reveals itself not as a competing theory to the quantificational framework of possible worlds but simply as an alternative way to express the latter:
Were I a linguist who came across an unknown tribe who used the subscripted boxes and diamonds in this way, and were I to notice such close grammatical and structural similarities between the sentences that this tribe wrote and the sentences of a first-order language that quantified over worlds, I would be strongly tempted to conclude that what we had was not a totally new way of thinking about modality, but merely just a slightly different notation for making the same old claims about modal reality.
Thus, Melia (ibid.) suggests that the modalist has not truly escaped the ontological commitment to worlds: that is, if it turns out that the expressive instruments available to the modalist simply mimic those of the possible worlds semanticist, and if the latter is committed to the existence of possible worlds, it is highly tempting to surmise that the modalist is committed to worlds inasmuch as the possible worlds semanticist is.
Forbes (1989: 91–93) responded to this kind of objection by stating that the indexed operators serve as scope indicators. Melia (2003: 96) illustrates this with the formula ◊1φ◊2A1ψ: although the syntactic structure suggests that ψ falls under the scope of the second ◊, the subscripts indicate that, semantically, it is attached to the first ◊. Yet, Melia simply dismisses Forbes’ answer, by arguing that it is difficult to make sense of the idea of there being multiple potential scopes within a modal proposition. A more articulated critique comes from Paul Dicken (2006: 202), who finds Forbes’ response unsatisfactory on the grounds that quantifiers also denote the scope. Consequently, Dicken asserts that for Forbes to establish that his indexed operators are not disguised quantifiers, he must provide an alternative account of how these operators are supposed to function.
Now, I would like to suggest that this objection can be answered in yet another manner. That is, it can be argued that the semantic relationships between indexed operators are discernible in natural language as such18. More precisely, the idea is this: if semantic relationships between indexed operators are discernible in natural language, then it appears entirely unjustified and even biased to insist that modalist language merely mimics the quantificational one. Perhaps both modalist and possible worlds formalisations draw from nothing other than the structure of natural language itself, and, in such a case, it should not be surprising that they might exhibit certain structural and grammatical resemblances. Such similarities by themselves, however, do not imply that one of these artificial languages is fundamentally grounded in the other; rather, they just represent alternative ways of expressing what lies within natural language itself19.
We have already encountered an instance from English, as indicated by Forbes himself, where we can discern some sort of relativisation or contextualisation. In the phrase “It could have been that necessarily, something is actual”20, the term ‘actual’ can be understood as referring back to ‘it could have been that’. The challenge, then, lies in selecting the appropriate formalisation to capture this interpretation of the sentence. One approach is to speak of possible worlds, or, more accurately, about the perspective of one specific possible world introduced by the phrase ‘it could have been that’. Alternatively, though, we can choose not to postulate any specific entities such as possible worlds at all, and, instead, speak abstractly about relativisation or contextualisation. In the latter case, it seems natural to opt for the modalist formalisation and simply index the possibility operator and the actuality operator with the same numerical indices to indicate that the latter is tied to the former. Regardless of the chosen approach, the foundational element in this process remains the act of relativisation or contextualisation itself.
In other words, the necessity to relativise modal contexts seems to arise from natural modal reasoning as such, with possible worlds semantics and modalist semantics just being distinct approaches aimed at capturing this aspect of ordinary modalising. If this is the case, however, then such a fact alone is clearly insufficient to characterise one of these approaches as parasitic upon the other: instead, both semantics simply serve the purpose of representing our intuitive modal reasoning in different formal frameworks21,22.
The charge levelled by Melia against modalists that they are not able to escape the ontological commitment to worlds, therefore, does not seem compelling. Given that the formal language proposed by the modalist draws from English23 – and not from the language of possible worlds semantics – it becomes challenging to discern any basis for the modalist’s supposed commitment to the existence of possible worlds. The only way to argue for this would be to insist that English as such is committed to such entities, but this appears entirely implausible, given that our talk about possibilities, in itself, does not seem to imply any quantification over such complete ways things could have been.
Indeed, this observation offers an important indication that possible worlds formalisations and modalist formalisations, after all, should not be viewed as equally suited to representing natural language. There are additional arguments supporting the view that modalist formalisations align more closely with how modality is naturally expressed (which, in turn, is why the modalist interpretation of modality can be seen as informing and grounding the meanings of possible worlds sentences). The final section of this article is dedicated to substantiating this point in greater detail.
Now, if we claim that both possible worlds semantics and modalism aim to represent our intuitive modal reasoning, the question arises as to which does so more accurately, and, in this regard, modalism appears to prove superior. For instance, Forbes (1992: 61) argues that it is implausible to believe that our ordinary modal statements can only be understood by those who grasp the concept of possible worlds, or total ways things could have been. Importantly, such a holistic conception of possibility may also bring forth other worrying aspects.
By introducing such complete possibilities, the possible worlds talk also introduces a spatial metaphor – i.e., something holds true in or at a world (or we talk about what this complete possibility includes). Thus, for instance, if something is merely possible, it is said to hold in at least one possible world other than the actual world. However, this idea seems to contradict the intuitive understanding that what is merely possible does not hold in any way whatsoever. Being merely possible, it only has the potential to hold true but does not in fact do so. Yet, within the possible worlds framework, such merely possible states of affairs (e.g., the existence of unicorns) are treated as holding true, thus contradicting the intuitive notion of mere possibility. In other words, the treatment of mere possibility within possible worlds semantics seems misaligned with the way we naturally speak about it24.
Of course, someone may argue that there is no real problem here, for even though what is merely possible indeed holds in some possible world, it holds within a merely possible world. In other words, it might be said that this is just another way of expressing the same idea that something is merely possible. However, this reasoning seems to circle back to the original concern, which is that what is merely possible cannot hold true in any form. Therefore, if we posit the existence of an entity where what is merely possible holds true, then there seems to be a problem with such an entity, regardless of what we call it. In other words, the problem does not cease to exist just because we choose to name it a merely possible entity – it does not change the fact that, in this entity, that which is merely possible is considered true, and this is where the problem lies. If it is counterintuitive to the everyday mind to conceive of something merely possible as holding true, it is equally counterintuitive to conceive an entity in which what is merely possible holds true25,26.
In contrast to this treatment of possibility, the modalist speaks about it in accordance with the way we naturally approach it: that is, simply by positing that there are truths about what is merely possible. The modalist does not posit the existence of complete possibilities, nor does the modalist claim that something that is merely possible holds true within them; within this framework, mere possibility does not collapse into actuality. Such intuitive appeal can be considered one of the main strengths of this theory.
In this article, I have examined modalism through the lens of its keynote developers while also addressing the main criticisms and drawing attention to the strength of this theory. My purpose has not been to argue for the wholesale rejection of possible worlds semantics; indeed, it may be that both frameworks hold unique value in different contexts. Overall, I hope to have achieved three key outcomes: 1) to provide an overview of the central modalist principles, 2) to offer a more detailed response to the most pressing challenges afflicting the modalist stance, and 3) to further accentuate the intuitive advantage of this theory, especially in contrast to the possible worlds account of modal notions. The article aims to contribute to the existing dialogue by strengthening the case that modal concepts resist reduction, and by inviting a reconsideration of modalism as a coherent and intuitive approach to understanding necessity and possibility.
Adams, R. M., 1974. Theories of Actuality. Noûs 8 (3): 211–231. https://doi.org/10.2307/2214751
Borghini, A., 2016. A Critical Introduction to the Metaphysics of Modality. London: Bloomsbury Academic Press.
Daly, C. J., 2005. Modality by Joseph Melia. The Philosophical Quarterly 55 (220): 526–528.
Dicken, P., 2006. Can the Constructive Empiricist Be a Nominalist? Quasi-Truth, Commitment and Consistency. Studies in History and Philosophy of Science 37 (2): 191–209. https://doi.org/10.1016/j.shpsa.2005.09.001
Divers, J., 1999. A Modal Fictionalist Result. Noûs 33 (3): 317–346. https://doi.org/10.1111/0029-4624.00158
Divers, J., 2007. The Modal Metaphysics of Alvin Plantinga. In: Alvin Plantinga, ed. D. P. Baker. New York: Cambridge University Press, 71–92.
Dresner, E., 2002. Measurement Theoretic Semantics and the Semantics of Necessity. Synthese 130 (3): 413–440. https://doi.org/10.1023/A:1014815703989
Forbes, G., 1983. Physicalism, Instrumentalism and the Semantics of Modal Logic. Journal of Philosophical Logic 12 (3): 271–298. https://doi.org/10.1007/BF00263479
Forbes, G., 1985. The Metaphysics of Modality. New York: Oxford University Press.
Forbes, G., 1989. Languages of Possibility: An Essay in Philosophical Logic. Oxford: Blackwell.
Forbes, G., 1992. Melia on Modalism. Philosophical Studies 68 (1): 57–63. https://doi.org/10.1007/bf00354469
Hazen, A., 1976. Expressive Completeness in Modal Language. Journal of Philosophical Logic 5 (1): 25–46. https://doi.org/10.1007/BF00263656
Kalhat, J., 2008. Primitive Modality and Possible Worlds. Philosophy 83 (4): 497–517. https://doi.org/10.1017/s0031819108000855
Kripke, S., 1980. Naming and Necessity. Cambridge, MA: Harvard University Press.
Lewis, D. K., 1986. On the Plurality of Worlds. Oxford: Blackwell.
Lewis, D. K., 2001 [1973]. Counterfactuals. Malden and Oxford: Blackwell Publishers.
McLeod, S. K., 2008. Knowledge of Necessity: Logical Positivism and Kripkean Essentialism. Philosophy 83 (2): 179–191. https://doi.org/10.1017/s0031819108000454
McLeod, S. K., 2018 [2001]. Modality and Anti-Metaphysics. Abingdon and New York: Routledge.
Melia, J., 1992. Against Modalism. Philosophical Studies 68 (1): 35–56. https://doi.org/10.1007/bf00354468
Melia, J., 2003. Modality. Chesham: Acumen.
Melia, J., 2005. Truthmaking without Truthmakers. In: Truthmakers: The Contemporary Debate, eds. H. Beebee and J. Dodd. New York: Oxford University Press, 67–84.
Nolan, D., 2007. Modality by Joseph Melia. Mind 116 (461): 187–190. https://doi.org/10.1093/mind/fzm187
Peacocke, C., 1978. Necessity and Truth Theories. Journal of Philosophical Logic 7 (1): 473–500. https://doi.org/10.1007/bf00245940
Plantinga, A., 1974. The Nature of Necessity. New York: Oxford University Press.
Prior, A. N., Fine, K., 1977. Worlds, Times and Selves. London: Duckworth.
Shalkowski, S. A., 2021. Modalism. In: The Routledge Handbook of Modality, eds. O. Bueno and S. A. Shalkowski. Abingdon and New York: Routledge, 114–122.
Sider, T., 2003. Reductive Theories of Modality. In: The Oxford Handbook of Metaphysics, eds. M. J. Loux and D. W. Zimmerman. New York: Oxford University Press, 180–208.
Stalnaker, R. C., 2003. Ways a World Might Be: Metaphysical and Anti-Metaphysical Essays. New York: Oxford University Press.
Stalnaker, R. C., 2012. Mere Possibilities: Metaphysical Foundations of Modal Semantics. Princeton: Princeton University Press.
Vercelli, A., 1997. Keynes, Schumpeter and Beyond: A Non-Reductionist Perspective. In: A ‘Second Edition’ of the General Theory, Vol. 2, eds. G. C. Harcourt and P. A. Riach. London and New York: Routledge, 284–299.
Vlach, F., 1973. ‘Now’ and ‘Then’: A Formal Study in the Logic of Tense Anaphora. Ph.D. University of California.
Wang, J., 2021. The Epistemological Objection to Modal Primitivism. Synthese 198 (Suppl 8): 1887–1898. https://doi.org/10.1007/s11229-018-01954-4
Williamson, T., 2013. Modal Logic as Metaphysics. Oxford: Oxford University Press.
1 The modalist believes that quantification over worlds is to be explained in terms of primitive modal operators – not the other way round (see Forbes 1992: 57). Timothy Williamson (2013: 333) dubs it a debate between modalists and anti-modalists: the former contend that quantification over worlds can be reductively explained in terms of modal operators, whereas the latter assert the reverse.
2 As formulated by Andrea Borghini (2016: 75), the core idea for the modalist is to endorse the syntax of quantified modal logic while at the same time rejecting the semantic account appealing to possible worlds.
3 As noted by Joseph Melia (1992: 55, fn. 4), it appears that the term ‘modalism’ was originally introduced by Kit Fine when describing Arthur Prior’s views on modality in the postscript to Prior and Fine 1977.
4 In this vein, modalism also presents a direct counterpoint to Willard Van Orman Quine’s hostile attitude towards modality (see Melia 2003: 81). Unlike endeavours aimed at abolishing the modal, modalism champions the utmost respect for modal talk by treating it as basic and clear as our discourse about categorical truths. To the modalist, modality is neither veiled in obscurity, nor does it require elucidation from non-modal explanations; modal truths stand as absolutely transparent and self-contained.
5 Modal primitivists differ among themselves depending on which modal notions – including necessity, possibility, essence, dispositions, etc. – they take as primitive. What is primitive for modalists is (at least one of) the modal operators ‘necessarily’ and ‘possibly’ themselves (also, as we will come to see, modalists typically include the actuality operator alongside the familiar possibility and necessity operators), implying that sentences containing these operators are likewise held primitive, whilst other modal primitivists posit that talk about necessity and possibility can be reduced to talk about other modal notions, such as essences and dispositions. The unifying idea across all modal primitivist positions lies in their acknowledgement that the truth conditions of modal propositions inevitably include modal notions, but what sets modalists apart in this context is their refusal to reduce the concepts of necessity and possibility even to other modal concepts. In other words, modalists take these concepts and claims involving them as absolutely primitive.
For the modalist, then, ‘primitiveness’ as such refers precisely to this absolute, or, if you will, radical, primitiveness. In this view, modal operators are principally not re-expressible, and modal claims in which they appear enjoy homophonic truth conditions, with no allowance even for partial, or intra-modal, reduction. For the sake of clarity, ‘primitiveness’ in the modalist sense (which I will adopt throughout this article) shall be understood precisely in this absolute sense.
6 Also see fn. 8.
7 Refer to Sider 2003 for a handy overview of the (purported) reductionist accounts of necessity and possibility.
8 The most famous version of the concretist interpretation of possible worlds is modal realism as represented by David Lewis (1986). According to Lewis, all possible worlds are concrete, spatiotemporally isolated objects. By contrast, abstractionists treat possible worlds as abstract representations of how the world could have been, often construed as maximal consistent sets of propositions, maximal states of affairs, or similar sorts of abstract entities. Modal abstractionist positions include Adams 1974, Plantinga 1974, Kripke 1980, and Stalnaker 2003, 2012. Forbes (1985: 75) terms concretism as absolute realism, and abstractionism as reductive realism about worlds.
9 Within this article, the term ‘modal language’ is used synonymously with ‘modalist language’. The term ‘modal language’ is employed specifically when discussing Forbes’ work, as this is the terminology he himself uses.
10 Where E(x, w) is a predicate which means ‘x exists in w’, and w* denotes the actual world.
11 I.e., if we interpret ‘actual’ as pertaining to a specific way things could have been, rather than taking us back to what is actually actual (see Forbes 1983: 280–281).
12 In his 1989 work, Forbes also employs the ↑ and ↓ operators introduced in Vlach 1973 to achieve the same effect.
13 Although the latter two options would entail a commitment to abstract objects – a position incompatible with the nominalism Forbes advocates in his 1985 work.
14 As Forbes (1989: 111) further clarifies, “[i]f the combinatorialist could identify within his theory certain features which any totally defined combination must possess and such that some partially defined combination has no completion possessing them, we would have the rationale for holism that we seek. But I am unaware of any successful combinatorialist criterion for admissibility of total combinations. And if we use modal criteria (effectively abandoning combinatorialism) we could presumably bring these to bear directly on the partial combinations, so that the detour through their completions would be unnecessary.”
15 Also, see Forbes 1985: 95, where it is claimed that “possible worlds are complete ways things might have been, and there is apparently nothing in the meaning of ‘Possibly, P’ which corresponds to this element of completeness,” and Forbes 1992: 61.
16 Regarding the ontological side, Forbes (1989: 103) states that modalism seems compatible with nearly any standpoint concerning the ontological issue of what sorts of entities exist for there to be modal facts about. He proceeds to accentuate that modalism is compatible even with an ontology that includes possible worlds, provided that quantification over them does not serve as an explanatory basis for the semantics of modal operators. In his earlier work, though, Forbes suggests treating sentences about worlds as some sort of uninterpreted stipulations, akin to how certain mathematical sentences were regarded by David Hilbert (see Forbes 1985: 94–95).
17 Or, perhaps, the presupposition at play is somewhat more nuanced, asserting solely that theorising about modality must take a reductionist form (as indicated in McLeod 2018 [2001]: 62), although Lewis apparently is a reductionist not only in the context of modality. Regardless of which interpretation is adopted, however, it does not alter the essence of the argument I give against this concern.
18 A germ of a similar answer can be found in Forbes 1985: 91 and Nolan 2007: 189. However, neither Forbes nor Nolan truly elaborated on it.
19 Notably, Chris Daly (2005: 527) offers yet another way to block Melia’s objection: he posits that endurantist and perdurantist analyses of physical-object sentences, for instance, also have very similar syntactic structure (e.g., “A dog howled” and “Some connected doglike temporal parts each produced a howl” each have the form of (∃x)(Dx & Hx)), but, in spite of this, they express different concepts.
20 Although, as also noted by Forbes, in S5, this proposition of natural language is equivalent to “Necessarily, something is actual.”
21 On the other hand, Scott A. Shalkowski (2021: 119–120) asserts that we should not cast the question of expressive power as decisive. He posits that the expressive power of a language, after all, merely reflects our own creative capacities, without necessarily shedding light on the modal reality itself. Perhaps the main question here lies in what we expect from formal languages as such. If we do not expect them to serve as a bridge to reality, then Shalkowski’s suggestion appears apt. Nevertheless, if we employ formal mechanisms with the ambition to say something about reality itself, then the significance of expressive power and the associated questions becomes more pronounced.
22 Yet another possible solution to the problem of expressive power comes from Melia (2005: 83–84) himself. He suggests that, instead of enriching their formal language, modalists could appeal to the concept of truth-making to address the objection. For instance, they could argue that the truth of the statement “There could have been more stars than there are” is simply grounded in the statements “In the actual world, there are x number of stars” and “It is possible that: the number of stars is greater than x.” However, this is not a paraphrase of the original sentence; apparently, such a solution may not be acceptable to those who do not subscribe to the notion of truth-making.
23 This should not be taken to imply that the point made holds exclusively for English; it applies equally to other natural languages as well, meaning that formal modalist language draws from these languages rather than from the language of possible worlds semantics.
24 A somewhat similar complaint, albeit with regard to the concept of necessity, has been brought up by Javier Kalhat (2008: 504): “To say that a proposition is necessarily true just in case it is true everywhere in logical space is essentially no more plausible than to say that it is true just in case it is true everywhere within the actual world. <…> Necessity is not the same as universality” (emphasis in the original). Kalhat’s point reinforces the same idea that the way modal concepts are modelled within possible worlds semantics distorts the way we intuitively understand them.
25 An alternative approach to addressing the objection might involve appealing to the Aristotelian conception of potentiality. Within the Aristotelian view, potentiality represents a real aspect of a thing that can be actualised. What is merely possible (potential) does not possess actual existence until it has been actualised; nevertheless, potentiality is a real feature of an entity. For example, while the state of being an oak tree is not actualised within an acorn, the capacity for this state is real in it. Thus, one could contend that it is not entirely accurate to characterise mere possibility as something which solely has the potential to hold true and is devoid of any reality since what is merely possible possesses some level (or form) of reality. Be that as it may, I doubt that this response has a chance of succeeding. For saying that some entity has a real capacity or potential does not equal saying that a merely possible proposition already holds true in some form. Even within the Aristotelian paradigm, the very state of being an oak tree in an acorn is merely possible and does not hold true in any sense. In other words, there remains a clear distinction between being merely possible and holding true, despite the fact that there is some real capacity within an entity to reach a certain state.
26 Some may also argue that my critique of how mere possibility is treated within possible worlds semantics (and perhaps Kalhat’s critique regarding necessity, as depicted in fn. 24) stems from the presupposition that only the actual world exists, and therefore begs the question against the possible worlds framework. In other words, it can be said that the very notion that what is merely possible does not hold true in any way (and that only what is actual does) is based on the presupposition that there is only one – the actual world – and not a plurality of possible worlds, because if one accepts the latter, the idea that what is merely possible does not hold true in any way loses its foundation. Yet, this does not seem to capture the essence of the concern correctly. The concern is not based on any presuppositions about the existence of worlds – rather, it is only based on the claim that actual truth differs from merely possible truth, which seems to mirror our intuitive understanding of modality in everyday thought. No necessary assumptions about worlds, or complete possibilities, underpin this intuitive grasp.