Taikomoji kalbotyra, 20: 208–220 eISSN 2029-8935
https://www.journals.vu.lt/taikomojikalbotyra DOI: https://doi.org/10.15388/Taikalbot.2023.20.15
Eglė Krivickaitė-Leišienė
Vytauto Didžiojo universitetas
egle.krivickaite-leisiene@vdu.lt
Anotacija. Išgalvotų žodžių pakartojimo testas, kuomet tyrimams reikalingi kalbos pavyzdžiai renkami vaikui kartojant pirmą kartą girdimus žodžius, plačiai taikomas visame pasaulyje. Šiuo testu duomenys gali būti renkami taikant skirtingas procedūras: 1) išgalvoti žodžiai įrašomi ir tiriamiesiems duodama klausyti įrašo; 2) tyrėjas išgalvotus žodžius kiekvienam vaikui taria gyvai. Mokslinėje literatūroje svarstyta apie tai, kaip svarbu palyginti šių dviejų procedūrų įtaką išgalvotų žodžių pakartojimo tikslumui (Chiat, Roy 2007), tačiau išsamių lyginamųjų tyrimų nėra atlikta. Šiuo tyrimu siekiama palyginti lietuvių kalbos išgalvotų žodžių, pristatytų skirtingomis procedūromis, testo rezultatus. Tyrime dalyvavo 100 ketverių penkerių metų vaikų ir 45 suaugusieji. Išanalizavus gautus duomenis, nustatyta, kad gyvai pristatytus žodžius tiriamieji (vaikai ir suaugusieji) pakartojo reikšmingai tiksliau nei įrašytuosius. Išsamesnė analizė leido pastebėti, kad trijų ir keturių skiemenų žodžius vaikai tiksliau pakartojo, kai šie buvo jiems pristatyti gyvai nei girdint tik įrašą. Šie skirtumai rodo, kad būdas, kuriuo pasirenkama rinkti duomenis išgalvotų žodžių pakarojimo testu, yra svarbus, ypač atliekant lyginamuosius tyrimus (pvz., tipinės ir netipinės vaikų kalbos raidos); svarbu, kad duomenys būtų renkami taikant tokią pačią išgalvotų žodžių pateikimo tiriamajam procedūrą.
Raktažodžiai: išgalvotų žodžių pakartojimo testas, kalbos suvokimas, kalbos produkcija, vaizdiniai stimulai, garsiniai stimulai
Summary: The aim of this study is to compare research data collected using two different non-word repetition test procedures (live stimuli vs. audio-recorded stimuli). The study sample consists of 100 typically developing children (aged 4;00–5;11) and 50 adults (mean age ~ 30).
The comparison of the different modes of the non-word repetition test suggests that the presentation of the stimuli (live vs. audio-recorded) influences the accuracy of the test results. The study found that visual stimuli significantly improved non-word repetition accuracy for both children and adults compared to audio-recorded stimuli (F(1.98) = 8.250, p < 0.005) and (F(1.43) = 8.927, p < 0.005), respectively. It was expected that visual stimuli would have a greater effect on adults than on children, but this hypothesis was not supported by the results.
Keywords: Non-word repetition test, language perception, language acquisition, auditory-visual stimuli
________
Copyright © 2023 Eglė Krivickaitė-Leišienė. Published by Vilnius University Press.
This is an Open Access article distributed under the terms of the Creative Commons Attribution Licence, which permits unrestricted use,
distribution, and reproduction in any medium, provided the original author and source are credited.
Vaikų gebėjimas pakartoti pirmą kartą išgirstą ir neturintį jokios reikšmės žodį dažnai siejamas su naujų žodžių išmokimu – kiekvienas žodis, kurį vaikas išgirdo pirmą kartą, jam skambėjo taip pat neįprastai, kaip ir žodžiai išgalvotų žodžių pakartojimo teste (Gathercole, Baddeley 1989; Gathercole 2006).
Lietuvių vaikų kalbos tyrimų, taikant išgalvotų žodžių pakartojimo testą1, yra atlikta nemažai: tipinės kalbos raidos vienakalbių vaikų (žr. Krivickaitė 2016, Krivickaitė-Leišienė 2020), vaikų, turinčių kalbos sutrikimą (žr. Krivickaitė, Dabašinskienė; 2013, Krivickaitė 2014b), dvikalbių vaikų (žr. Krivickaitė 2014a, Krivickaitė-Leišienė, Dabašinskienė 2022). Minėtiems tyrimams duomenys rinkti naudojant įrašą, tik vienam tyrimui duomenys rinkti išgalvotus žodžius tariant gyvai (žr. Krivickaitė, Dabašinskienė 2013). Tyrėjų pastebėta, kad gyvas žodžių pateikimas padeda išlaikyti kontaktą su vaiku viso tyrimo metu (Radeborg et al. 2006; Chiat, Roy 2007; Hoff et al. 2008), kita vertus, įrašas užtikrina, kad kiekvienas tiriamasis išgalvotus žodžius išgirstų tokios pačios kokybės, t. y. tokio pat tono, tempo, intonacijos (Munson et al. 2005; Chiat, Roy 2007 Kapalkova et al. 2013).
Tyrimuose taikomų metodų visi elementai tarpusavyje susiję ir sudaro vieną metodologinę visumą, tad net menkas skirtumas gali lemti netikslumus (Kardelis 2002). Išgalvotų žodžių pakartojimo testas laikomas vertinamuoju kalbos testu, leidžiančiu išskirti vaikus, galimai turinčius kalbos sutrikimą. Vaikai, turintys kalbos įsisavinimo sunkumų, išgalvotus žodžius pakartoja reikšmingai prasčiau nei tipinės kalbos raidos vaikai (žr. Gathercole 2006; Dollaghan, Campbell 1998; Gutierrez-Clellen, Simon-Cereijido 2010; Kapalkova et al. 2013; Krivickaitė 2014b). Susipažinus su kitų mokslininkų atliktais išgalvotų žodžių pakartojimo testo tyrimais, pastebėta, kad vieni tyrėjai duomenis rinko taikydami įrašą (pvz., Munson et al. 2005; Krivickaitė 2016), kiti – žodžius vaikams tarė gyvai (Hoff et al. 2008) (išsamiau žr. 3 skyrių). Norint atlikti objektyvius ir patikimus lyginamuosius skirtingų kalbų tyrimus, tipinės ir netipinės vaikų kalbos raidos lyginamuosius tyrimus, svarbu žinoti, ar skirtingomis procedūromis rinkti duomenys gali turėti įtakos testo rezultatams. Šis tyrimas būtų vienas pirmųjų2 bandymų palyginti skirtingomis išgalvotų žodžių procedūromis rinktų duomenų rezultatus.
Taigi, šio darbo tikslas – palyginti skirtingomis išgalvotų žodžių testo procedūromis surinktų duomenų rezultatus. Tyrimo objektas – vaikų ir suaugusiųjų išgalvotų žodžių pakartojimo testo atsakymai. Yra teigiama, kad vaizdiniai ir garsiniai stimulai veikdami kartu palengvina kalbos supratimą (McGurk, MacDonald 1976; Massaro, Bosseler 2006; Hidalgo-Barnes, Massaro 2007 ir kt.; žr. 2 skyrių). Kai kurių tyrimų rezultatai atskleidė, kad vaizdiniai stimulai labiau veikia vyresnio amžiaus žmones nei vaikus (Feld, Sommers 2009). Remiantis šių ir kitų mokslininkų tyrimų rezultatais, darbe keliamos kelios hipotezės: pirmoji – tyrėjo gyvai tarti išgalvoti žodžiai bus pakartoti tiksliau nei pateikti įrašu; antroji – vaizdiniai stimulai daugiau įtakos turės suaugusiųjų atsakymams nei vaikų. Išgalvotų žodžių pakartojimo testas dažniausiai atliekamas su ikimokyklinio amžiaus vaikais, tačiau į šį tyrimą, remiantis užsienio mokslininkų darbais, kuriuose analizuojama garsinių ir vaizdinių stimulų įtaka (žr. Massaro 1984; Feld, Sommers 2009; Ross et al. 2011), nuspręsta įtraukti ir suaugusiųjų grupę.
Šio tyrimo medžiagą sudaro 100 tipinės kalbos raidos vaikų (4;00–5;113) ir 45 suaugusiųjų (amžiaus vidurkis ~ 30 m.) išgalvotų žodžių pakartojimo testo atsakymai. Pusei tiriamųjų išgalvoti žodžiai buvo pateikti įrašu (50 vaikų ir 23 suaugusiems), kitai daliai (50 vaikų ir 22 suaugusiems) – tyrėjo gyvai. Kiekvienas tiriamasis apklaustas individualiai, atskiroje patalpoje, o visa procedūra įrašyta diktofonu, kad tyrimo dalyviai nesijaustų vertinami.
Sutranskribavus gautus duomenis, atlikta kelių etapų analizė: pirma, aptartas tikslus žodžių pakartojimas; antra, aptartas tik priebalsių samplaikų žodyje ištarimas. Duomenys koduoti rankiniu būdu ir analizuoti SPPS programa, taikant General Linear Model (GLM) statistinį metodą; pasirinktas standartinis 0,05 statistinio reikšmingumo lygmuo.
Bendraujant žodžiu kalbos supratimui svarbu ne tik garsiniai kalbos stimulai (garsas), bet ir vaizdiniai (pvz., veido išraiškos, lūpų judesiai, gestai). Galimybė stebėti kalbančiojo lūpų judesius klausytojui palengvina žodžių supratimą, ypač triukšmingoje aplinkoje (Hidalgo-Barnes, Massaro 2007; Okada, Hickok 2009). Žemiau aptariamų tyrimų rezultatai patvirtina, kad kai vaizdinė ir garsinė informacija integruojamos, žinutė suprantama lengviau.
Vienas iš žinomiausių eksperimentų, įrodžiusių vaizdinių stimulų įtaką kalbos supratimui, McGurk efektas (McGurk, MacDonald 1976). Dalyviams vienu metu pateikti du stimulai – garsinis ir vaizdinis. Stimulai nesutapo, pavyzdžiui, sakytas garsų junginys „ba“ arba „aba“ (t. y. garsinis stimulas) ir tuo pačiu metu pateiktas vaizdinis stimulas „ga“ arba „aga“ (t. y. rodytas priartintas vaizdas, kur žmogaus lūpos judėjo lyg būtų tarta „ga“ arba „aga“). Tyrimo dalyviai tvirtino, kad girdėjo „da“ arba „ada“ (žr. Desai et al. 2008).
Vaizdinių stimulų įtaką kalbos supratimui yra aprašęs D. W. Massaro su kolegomis (pvz., Massaro 1984, Massaro et al. 1995; Massaro, Cohen 1996; Massaro, Bosseler 2006; Hidalgo-Barnes, Massaro 2007). Atliekant eksperimentą tiriamiesiems kompiuterio ekrane rodytas pieštas kalbantis žmogaus veidas (jo lūpos judėjo ir sklido garsas) (žr. Massaro et al. 1995; Massaro, Bosseler 2006). Nustatyta, kad kalba tiksliausiai suprasta tuomet, kai veikė abu stimulai – garsinis ir vaizdinis. Eksperimento metu tiriamieji girdėjo 420 vienaskiemenių anglų kalbos žodžių. Vienai tiriamųjų grupei pateiktas tik garsinis, kitai grupei – tik vaizdinis stimulas, o trečiai grupei abu – ir garsinis, ir vaizdinis stimulai. Paaiškėjo, kad veikiant tik garsiniam stimului, kalba atpažinta 55 proc. tikslumu, veikiant tik vaizdiniam – 4 proc., o tiriamiesiems ir girdint, ir tuo pačiu metu matant kalbančiojo veidą – žodžiai suprasti 75 proc. tikslumu (Cohen, Massaro 1993).
Kitas tyrimas, atliktas su 8–13 m. amžiaus autizmo spektro sutrikimų turinčiais vaikais, mokant juos leksikos ir gramatikos. Ilgalaikiu tyrimu siekta įvertinti, ar jų mokymosi procesą palengvina garsinis ir vaizdinis stimulai. Tyrime dalyvavo dvi grupės, turėjusios atlikti užduotis kompiuteriu, vieniems užduotis įgarsino kompiuterio ekrane rodytas žmogaus veidas (veikė garsinis ir vaizdinis stimulai), kitai grupei užduotys tik įgarsintos, vaizdo nebuvo (žr. Massaro, Bosseler 2006: 496). Pasirodo, kad galimybė matyti kalbančiojo veidą (lūpų judesius) vaikams, turintiems autizmo spektro sutrikimų, padėjo lengviau, greičiau įsisavinti informaciją.
Dar vienas tyrimas, atliktas su 5–14 m. 44 tipinės kalbos raidos vaikais (4 amžiaus grupės: 5–7 m.; 8–9 m.; 10–11 m. ir 12–14 m.) ir 14 suaugusiųjų (16–56 m., amžiaus vidurkis 32 m.). Atliekant eksperimentą 300 vienskiemenių žodžių tiriamiesiems pateikti skirtingais būdas: tik garsiniu stimulu, tik vaizdiniu stimulu, ir tiek garsiniu, tiek vaizdiniu stimulais. Išsiaiškinta, kad galimybė girdėti ir matyti kalbančiojo veidą pagerino kalbos supratimą visoms amžiaus grupėms. Be to, autoriai pastebėjo, kad kuo vyresnė grupė, tuo vaizdiniai stimulai labiau paveikė užduoties atlikimo rezultatus (Ross et al. 2011).
Tokias išvadas patvirtino ir kito tyrimo, kuriame dalyvavo 4–9 m. vaikai ir 18–38 m. suaugusieji, rezultatai. Lyginant suaugusiųjų ir vaikų rezultatus, pastebėtas nežymus skirtumas – vaizdiniai stimulai kiek didesnę įtaką turėjo suaugusiesiems (Massaro 1984).
Kalbant apie stimulų įtaką suaugusiųjų gebėjimams atlikti kalbines užduotis, atkreiptas dėmesys, kad vaizdiniai stimulai labiau veikė jaunesnio amžiaus suaugusiuosius (18–22 m.) nei vyresnio amžiaus (70–77 m.) ar vaikus (Feld, Sommers 2009). Kita vertus, D. Ceuleers ir kolegų (2022) atlikto tyrimo su trimis suaugusiųjų amžiaus grupėmis (18–39 m., 40–59 m. ir vyresnių nei 60 m.) rezultatai neparodė reikšmingos vaizdinių stimulų įtakos kuriai nors vienai amžiaus grupei. Autoriai atkreipė dėmesį, kad tariant kai kuriuos priebalsius, lūpos juda taip pat: pavyzdžiui, artikuliuojant p, b, m lūpos suspaudžiamos arba tariant l, t, d burna yra truputį pravira, liežuvio galiukas remiasi į priešakinius viršutinius dantis. Taigi, tariant žodžius lapas ir labas lūpos juda taip pat, ir tik akustiniai stimulai padeda diferencijuoti priebalsius bei žodžių reikšmes (Ceuleers et al. 2022).
Duomenys išgalvotų žodžių pakartojimo testu gali būti renkami atliekant kelias skirtingas procedūras:
• Išgalvoti žodžiai4 įrašomi ir tiriamiesiems duodama klausyti įrašo (pvz., Munson et al. 2005; Chiat, Roy 2007). Įrašas užtikrina, kad kiekvienas tiriamasis žodžius išgirs tokios pačios kokybės, t. y. tokio pat tono, tempo, intonacijos. Tai ypač aktualu atliekant didelės imties tyrimus. Tiriamieji neturi galimybės stebėti lūpų judesių, t. y. nėra vaizdinio stimulo. Išgalvotų žodžių pakartojimo testas pateikiamas kaip žaidimas, kad būtų patrauklus vaikams. Pavyzdžiui, žodžius „sako“ lėlė, gyvūnas ar ateivis. Vaikams parodomas lėlės, ateivio ar gyvūno paveikslas ir pasakoma, kad veikėjas savo kalba tars žodžius, o tiriamasis turi juos pakartoti taip, kaip išgirdo. Tiriamieji perspėjami, kad šių žodžių tikrai niekada nėra girdėję ir jie gali skambėti keistai (Chiat, Roy 2007; Kapalkova et al. 2013).
• Kiekvienam tiriamajam išgalvoti žodžiai tyrėjo pristatomi gyvai (pvz., Radeborg et al. 2006; Chiat, Roy 2007; Hoff et al. 2008). Teigiama, kad tokiu būdu lengviau išlaikyti vaiko dėmesį nei leidžiant įrašą, nes galima palaikyti akių kontaktą (Polišenska, Kapalkova 2014). Pristatyti žodžius gyvai galima užsidengus burną (veikia tik garsinis stimulas) (žr. Adams, Gathercole 1995; Bishop et al. 1999; Botting, Conti-Ramsden 2001; Radeborg et al. 2006) arba burnos nedengiant (veikia garsinis ir vaizdinis stimulai).
Analizuojant mokslinę literatūrą, pastebėta, kad išgalvotų žodžių pakartojimo testas su mažais vaikais (iki trejų metų) dažniausiai atliekamas gyvai tariant žodžius tikintis, kad taip pavyks išlaikyti vaikų dėmesį ir esama didesnės tikimybės testą atlikti iki galo (Polišenska, Kapalkova 2014). Vyresnio amžiaus vaikams išgalvoti žodžiai dažniausiai pateikiami įrašyti. Sh. Chiat ir P. Roy (2007: 432) pabrėžė svarbą palyginti šias dvi duomenų rinkimo išgalvotų žodžių pakartojimo testu procedūras, kad būtų galima įvertinti, ar tai turi įtakos tyrimo rezultatams.
Šiam tyrimui duomenys rinkti naudojant lietuvišką išgalvotų žodžių pakartojimo testą, kuris sudarytas iš 24 žodžių: 8 dviskiemenių, 8 triskiemenių ir 8 keturių skiemenų žodžių (žr. 2 lentelę). Lietuviški išgalvoti žodžiai rengti atsižvelgiant į lietuvių žodžių sandarą bei skiemenavimo ypatybes (remiantis Kazlauskienės (2007; 2010), Kazlauskienės ir Raškinio (2008a; 2008b), Raškinio ir Kazlauskienės (2009) tyrimais) (daugiau apie lietuvišką išgalvotų žodžių pakartojimo testą galima rasti čia: Krivickaitė, Dabašinskienė 2013; Krivickaitė 2014a; Krivickaitė 2014b; Krivickaitė 2016).
Tyrime dalyvavo 100 tipinės kalbos raidos vaikų (4;00–5;11) ir 45 suaugusiųjų (amžiaus vidurkis ~ 30 m.) (žr. 1 lentelę). Kiekvienas tiriamasis apklaustas individualiai.
|
VAIKAI5 |
Žodžiai tarti gyvai |
Leistas įrašas |
|
4;00–5;11 |
4;00–5;11 |
|
|
N |
50 |
50 |
|
Lytis (m/v) |
23/27 |
24/26 |
|
SUAUGĘ |
Žodžiai tarti gyvai |
Leistas įrašas |
|
N / amžiaus vidurkis |
22 (~ 29 m.) |
23 (~ 32 m.) |
|
Lytis (m/v) |
19 / 3 |
20 / 3 |
Kiekvienam tiriamajam išgalvoti žodžiai pristatyti tokiu pačiu eiliškumu kaip nurodyta 2 lentelėje. Toks eiliškumas parinktas atsitiktiniu būdu. Kaip minėta, dalis tiriamųjų girdėjo išgalvotų žodžių įrašą, o kitai daliai išgalvoti žodžiai tyrėjo buvo tariami gyvai (žr. 1 lentelę). Visi tiriamieji užduotį atliko iki galo.
|
Eilės nr. |
Išgalvotas žodis |
Skiemenų skaičius |
|
1. |
Ke.mu |
2 skiem. |
|
2. |
La.smu.vi |
3 skiem. |
|
3. |
Spi.ra.tu.ša |
4 skiem. |
|
4. |
ski.mo |
2 skiem. |
|
5. |
Ple.mu.ta |
3 skiem. |
|
6. |
Šve.la |
2 skiem. |
|
7. |
Ni.spa.ri.ma |
4 skiem. |
|
8. |
Šku.li.nė |
3 skiem. |
|
9. |
Gi.tva |
2 skiem. |
|
10. |
Sna.li.di.na |
4 skiem. |
|
11. |
Smin.to |
2 skiem. |
|
12. |
Ma.gvu.no.lė |
4 skiem. |
|
13. |
Ge.lo.ša |
3 skiem. |
|
14. |
Do.ja |
2 skiem. |
|
15. |
Sta.li.go.sa |
4 skiem. |
|
16. |
Go.sa.klu.ni |
4 skiem. |
|
17. |
Ši.ru.ta |
3 skiem. |
|
18. |
Ma.spu.lė |
3 skiem. |
|
19. |
Su.le.ri.tė |
4 skiem. |
|
20. |
Spa.de.ki |
3 skiem. |
|
21. |
Ga.prė |
2 skiem. |
|
22. |
Ža.de.vi.na |
4 skiem. |
|
23. |
Pa.sva.pi |
3 skiem. |
|
24. |
Kle.sta |
2 skiem. |
Garso įrašas6 (garsinis stimulas) vaikams pateiktas žaidimo forma Ms PowertPoint programa (žr. 1 paveikslą). Pirmiausia tyrėjas supažindino vaiką su pagrindiniu žaidimo veikėju – beždžionėle, kuri, norėdama gauti bananų, turi atlikti užduotis. Vaikui pasiūlyta padėti beždžionėlei įveikti užduotis. Kiekviename žingsnyje vaikas išgirdo įrašytą išgalvotą žodį, kurį turėjo pakartoti. Visas pokalbis įrašytas diktofonu – taip netikslūs atsakymai nėra fiksuojami vaiko akivaizdoje. Vaikams ši užduotis patiko, nes yra žaisminga, linksma ir trumpa (trunka tik 3–4 min.). Suaugusiems pateiktas tas pats garso įrašas per Ms PowertPoint programą kaip ir vaikams, siekiant vienodų sąlygų. Suaugusiesiems paaiškinta, kad vaizdinė priemonė pritaikyta vaikams, tačiau, laikantis vienodų tyrimo sąlygų, jiems ji taip pat bus rodoma.

Gyvai tyrėjo tarti žodžiai (garsinis ir vaizdinis stimulai). Tyrimo metu tyrėja (35 m. moteris)7 ir tiriamasis sėdėjo ar stovėjo vienas priešais kitą. Tyrėja sakė: „Aš sakysiu žodžius, tau tikrai niekada negirdėtus, kuriuos aš sugalvojau, ir jie neturi jokios reikšmės. Žodžiai tikrai keisti. Tavo užduotis – pakartoti taip, kaip išgirdai. Kartok paskui mane po kiekvieno žodžio“. Tyrėjos lūpos nebuvo uždengtos, palaikytas akių kontaktas. Pokalbis buvo įrašomas diktofonu – taip tiriamųjų akivaizdoje nėra fiksuojami netikslūs atsakymai.
Duomenų apdorojimas. Surinkti duomenys koduoti rankiniu būdu ir analizuoti keliais etapais:
1. Vertintas išgalvoto žodžio pakartojimo tikslumas. Kiekvienas tiriamojo pakartotas žodis įvertintas kaip tikslus arba netikslus atsakymas. Netiksliais atsakymais laikyta, kai: praleistas garsas (pvz., gosakuni (= gosakluni)) arba skiemuo magvulė (= magvunolė)); pakeistas garsas (pvz., štela (= švela)); pridėtas garsas (pvz., graprė (= gaprė)) arba skiemuo (pvz., damoja (= doja)); garsai žodyje sukeisti vietomis (pvz., žavedina (= žadevina)) ir pan. Tiksliu atsakymu laikyta, kai tiriamasis visiškai tiksliai pakartojo išgalvotą žodį. Žodžio ilgis taip pat yra svarbus veiksnys, todėl analizuotas ne tik bendras išgalvotų žodžių pakartojimo tikslumas, bet ir atskirai žiūrėta dviejų, trijų ir keturių skiemenų žodžių pakartojimo tikslumas.
2. Vertinta skiemens struktūra (priebalsių samplaikos ištarimas žodyje). Šiuo atveju tiksliu atsakymu laikyta, jei priebalsių samplaika pakartota tiksliai, pvz., taprė (= gaprė) laikyta teisingu atsakymu. Netiksliu atsakymu laikyta, jei priebalsių samplaika žodyje ištarta netiksliai (pakeistas, praleistas garsas ar pan.), pvz., kimo (= skimo), magnunolė (= magvunolė) ir pan. Taip pat atsižvelgta į žodžio, kuriame priebalsių samplaika yra, ilgį.
Duomenys koduoti rankiniu būdu, analizuoti SPPS programa, taikant General Linear Model (GLM) statistinį metodą; pasirinktas standartinis 0,05 statistinio reikšmingumo lygmuo. Šis modelis leidžia įvertinti skirtingų sąlygų įtaką. Į modelį įtraukti šie pagrindiniai veiksniai: eksperimentinė sąlyga (garso įrašas vs. gyvai tyrėjo tariami žodžiai) ir dalyvių grupės. Pagrindinis priklausomas kintamasis buvo žodžių pakartojimo tikslumas.
Šioje dalyje aptariami skirtingomis procedūromis surinkti išgalvotų žodžių pakartojimo testo duomenys.
Tyrimo rezultatai parodė, kad vaikai įrašytus žodžius pakartojo 70 proc., o gyvai tartus – 77 proc. tikslumu; suaugusieji įrašytus žodžius pakartojo 93 proc., o gyvai tartus – 98 proc. tikslumu (žr. 2 pav.).

Išgalvoti žodžiai, tarti gyvai, lyginant su įrašytais, pakartoti statistiškai reikšmingai tiksliau tiek vaikų (F(1, 98) = 8,250, p < 0,005), tiek suaugusiųjų (F(1, 43) = 8,927, p < 0,005). Palyginus vaikų ir suaugusiųjų tyrimo duomenis, nenustatyta statistiškai reikšminga bendra sąveika tarp tiriamųjų grupių ir duomenų rinkimo procedūros (F(3, 141) = 43,568, p < 0,381). Vadinasi, negalima teigti, kad, kartojant išgalvotus žodžius, vaizdinis stimulas labiau veikė suaugusiuosius nei vaikus.
Iš 3 paveiksle pateiktų duomenų galima matyti vaikų ir suaugusiųjų teisingų atsakymų pasiskirstymo amplitudes. Vaikai įrašytus žodžius pakartojo 46–100 proc. tikslumu, o gyvai tartus –50–100 proc. tikslumu. Taigi, abejomis procedūromis pakartojimo rezultatai pasiskirstę panašiai, gana plačiai8. Vadinasi, 4;00–5;11 amžiaus vaikų kalbiniai gebėjimai, leidžiantys pakartoti išgalvotus žodžius, yra skirtingi. Tai natūralu, nes gebėjimas tiksliai pakartoti pirmą kartą išgirstą, jokios reikšmės neturintį žodį, priklauso nuo trumpalaikės atminties talpos, t. y. kiek išgirstos informacijos pavyksta išsaugoti, atkoduoti ir pakartoti, taip pat nuo fonologinės analizės gebėjimų, kurie vaikų yra išlavėję skirtingai (Estes et al. 2007; Radeborg et al. 2006).

Suaugusieji įrašytus žodžius pakartojo 87–100 proc., o tartus gyvai – 96–100 proc. tikslumu. Suaugusiųjų teisingų atsakymų amplitudės kur kas mažesnės nei vaikų, taip pat matyti skirtumas tarp apatinių rodiklių. Įrašytų žodžių tikslaus pakartojimo apatinis rodiklis yra 87 proc., o gyvai tartų – 96 proc.
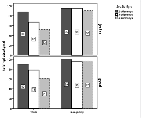
Žodžio ilgis. Šio testo rezultatams svarbu žodžių ilgis, t. y. skiemenų skaičius žodyje. Kaip galima matyti iš 4 pav. pateiktų duomenų, vaikai ilgesnius nei dviejų skiemenų žodžius, pateiktus įrašu, pakartojo kur kas prasčiau nei tartus gyvai. Dviejų skiemenų žodžiai pakartoti panašiai – 88–90 proc. tikslumu; trijų skiemenų žodžiai, pristatyti įrašu, pakartoti 67 proc., o pateikti gyvai – 78 proc. tikslumu (F(1, 98) = 10,388, p < 0,002); keturių skiemenų žodžiai, pristatyti įrašu, pakartoti 52 proc., o pateikti gyvai – 61 proc. tikslumu (F(1, 98) = 4,215, p < 0,043). Taigi, vaikai, trijų ir keturių skiemenų žodžius, tartus gyvai, pakartojo statistiškai reikšmingi tiksliau nei įrašytus. Vis dėlto, skaičiuojant bendrą sąveiką tarp tyrimo skirtingų procedūrų ir žodžio ilgio, ji nėra reikšminga (F(5, 294) = 36,803, p < 0,207).

Suaugusiųjų rezultatai kiek kitokie nei vaikų: dviejų skiemenų žodžiai, pristatyti įrašu, pakartoti 95 proc., o tyrėjo sakyti gyvai – 99 proc. tikslumu (F(1, 41) = 8,394, p < 0,006); trijų skiemenų žodžius, pristatytus įrašu, suaugusiųjų grupė pakartojo 95 proc., o gyvai – 96 proc. tikslumu (F(1, 41) = 0,126, p < 0,724); keturių skiemenų žodžius, pristatytus įrašu, pakartojo 90 proc., o gyvai – 97 proc. tikslumu (F(1, 41) = 4,361, p < 0,043). Matyti, kad suaugusieji reikšmingai tiksliau pakartojo dviejų ir keturių skiemenų žodžius, pristatytus gyvai, tačiau bendra sąveika tarp skirtingų tyrimo procedūrų ir žodžio ilgio nėra reikšminga (F(5, 122) = 3,222, p < 0,249).
Priebalsių samplaikos pakartojimas. Dar vienas svarbus veiksnys – gebėjimas ištarti priebalsių samplaikas skirtingo ilgio žodžiuose. Šio testo išgalvotuose žodžiuose priebalsių samplaikos yra tik tokios, kurios pasitaiko lietuvių kalbos žodžiuose.
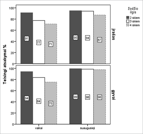
Vaikai priebalsių samplaikas, kai žodžiai pristatyti įrašu, ištarė 80 proc., o kai žodžiai tarti gyvai – 84 proc. tikslumu. Šis skirtumas nežymus, statistinė analizė rodė silpną reikšmingumą F(1, 298) = 3,986, p < 0,047). Suaugusieji priebalsių samplaikas, kai žodžiai pristatyti įrašu, ištarė 92 proc., o kai žodžiai tarti gyvai – 98 proc. tikslumu. Šis skirtumas reikšmingas F(1, 133) = 8,485, p < 0,004), todėl galima teigti, kad vaizdinis stimulas turėjo įtakos tikslesniam priebalsių samplaikų ištarimui žodžiuose.
Tęsiant priebalsių samplaikų analizę, pasakytina, kad svarbus veiksnys yra ir žodžio ilgis. Vaikai priebalsių samplaikas dviejų skiemenų žodžiuose, pristatytuose įrašu, ištarė 91 proc., o gyvai – 94 proc. tikslumu (F(1, 98) = 1,850, p < 0,177); samplaikas trijų skiemenų žodžiuose, pristatytuose įrašu, ištarė 77 proc., o pateiktuose gyvai – 84 proc. tikslumu (F(1, 98) = 3,233, p < 0,075); keturių skiemenų žodžiuose, pristatytuose įrašu, ištarė 71 proc., o gyvai – 75 proc. tikslumu (F(1, 98) = 0,880, p <0,350). Sąveika tarp tyrimo skirtingų procedūrų ir žodžių ilgio nėra reikšminga (F(5, 294) = 14,127, p < 0,775), vadinasi, vaizdinis stimulas neturėjo įtakos priebalsių samplaikų ištarimui skirtingo ilgio žodžiuose.

Suaugusieji priebalsių samplaikas dviskiemeniuose žodžiuose, pristatytuose įrašu, ištarė 95 proc., o gyvai – 99 proc. tikslumu (F(1, 43) = 1,189, p < 0,282); trijų skiemenų žodžiuose, pristatytuose įrašu, samplaikos ištartos 94 proc., o pateiktuose gyvai – 98 proc. tikslumu (F(1, 43) = 3,536, p <0,067); keturių skiemenų žodžiuose, pristatytuose įrašu, samplaikas suaugusieji ištarė 87 proc., o gyvai – 98 proc. tikslumu (F(1, 43) = 5,139, p < 0,028). Taigi, suaugusieji reikšmingai tiksliau priebalsių samplaikas ištarė keturių skiemenų gyvai pristatytuose žodžiuose, dviejų ir trijų skiemenų žodžiuose samplaikos pakartotos panašiai tiksliai. Sąveika tarp tyrimo skirtingų procedūrų ir žodžių ilgio nėra reikšminga (F(5, 129) = 2,781, p < 0,431), vadinasi, ir suaugusiesiams vaizdinis stimulas neturėjo įtakos priebalsių samplaikų ištarimui skirtingo ilgio žodžiuose.
Įvairių eksperimentinių tyrimų rezultatai rodo, kad jei žmonės turi galimybę stebėti kalbančiojo lūpas, tai palengvina kalbos supratimą tiek vaikams, tiek suaugusiesiems (Cohen, Massaro 1993; Hidalgo-Barnes, Massaro 2007; Desai et al. 2008 ir kt.). Šiame darbe analizuoti vaikų (4;00–5;11) ir suaugusiųjų (amžiaus vidurkis ~ 30 m.) skirtingomis išgalvotų žodžių pakartojimo testo procedūromis surinkti duomenys.
Išgalvotų žodžių pakartojimo testu duomenys gali būti renkami taikant skirtingas procedūras: išgalvotus žodžius tiriamiesiems pateikiant įrašu arba tyrėjui žodžius tariant gyvai. Pasigendama šių skirtingų procedūrų palyginimo ir aptarimo, ar gali turėti įtakos testo rezultatams. Tai aktualu mokslininkams lyginant tyrimų rezultatus, taip pat logopedams ar kitiems specialistams, taikantiems šį testą darbe su jaunesnio ar vyresnio amžiaus vaikais.
Šiame darbe, remiantis užsienio šalių tyrėjų atliktais tyrimais dėl vaizdinių ir garsinių stimulų, keltos hipotezės pasitvirtino iš dalies. Pirmoji hipotezė, kad gyvai tarti išgalvoti žodžiai (garsinis ir vaizdinis stimulai) bus tiksliau pakartoti vaikų ir suaugusiųjų, pasitvirtino. Abi tyrime dalyvavusios grupės gyvai tartus žodžius pakartojo reikšmingai tiksliau nei klausydami žodžių įrašo (vaikų rezultatas – F(1, 98) = 8,250, p < 0,005), suaugusiųjų – F(1, 43) = 8,927, p < 0,005)).
Vertinant išgalvotų žodžių pakartojimo testo duomenis, svarbūs veiksniai yra žodžio ilgis (skiemenų skaičius žodyje) ir priebalsių samplaikos ištarimas žodyje. Vaikų grupė, kuri turėjo galimybę matyti kalbančiojo lūpas, ilgesnius nei dviejų skiemenų žodžius ir priebalsių samplaikas pakartojo reikšmingai tiksliau nei išgalvotų žodžių įrašo klausiusi grupė. Suaugusieji, kuriems žodžiai buvo pristatyti gyvai, taip pat reikšmingai tiksliau pakartojo žodžius nei tie, kurie klausėsi įrašo.
Antroji hipotezė, kad vaizdiniai stimulai daugiau įtakos turės suaugusiųjų atsakymams nei vaikų, nepasitvirtino. Palyginus iš vaikų ir iš suaugusiųjų gautus duomenis, nenustatyta reikšmingos bendros sąveikos tarp tiriamųjų grupių ir duomenų rinkimo procedūros (F(3, 141) = 43,568, p < 0,381). Todėl negalima teigti, kad vaizdiniai stimulai labiau veikia vyresnes amžiaus grupes.
Taigi, šio tyrimo rezultatai patvirtina, kad skirtingomis procedūromis rinkti duomenys nėra tinkami gretinti. Kaip buvo minėta, išgalvotų žodžių pakartojimo testas laikomas vertinamuoju kalbos testu, leidžiančiu išskirti vaikus, galimai turinčius kalbos sutrikimą, todėl šį lyginamąjį tyrimą dėl skirtingų procedūrų įtakos testo rezultatams būtų naudinga pratęsti ir su kalbos sutrikimų turinčių vaikų grupe.
Taip pat vertėtų paminėti, jog vykdant tyrimą pastebėta, kad vaikų elgesys ir įsitraukimas į tyrimą priklausė nuo žodžių pateikimo procedūros. Pristatant žodžius gyvai, vaikai su tyrėja stengėsi išlaikyti akių kontaktą, stebėjo tyrėjos lūpų judesius, įdėmiau klausėsi žodžių, tačiau buvo sunkiau išlaikyti jų dėmesį. Nors testas trumpas, sudarytas iš 24 žodžių ir trunka vos keletą minučių, pasitaikė, kad vaikai prašė greičiau pabaigti ši „žaidimą“. O pristatant išgalvotus žodžius įrašu su vaizdine priemone, vaikų dėmesys labiau krypo į „žaidimą“, t. y. vaikai daugiau koncentravosi į kompiuterio ekraną, nekantravo kuo greičiau išgirsti kitą žodį ir „įvykdyti užduotį“. Tikėtina, kad tai taip pat galėjo turėti įtakos vaikų atsakymams.
Adams, A. M., S. E. Gathercole. 1995. Phonological working memory and speech production in preschool children. Journal of Speech & Hearing Research 38(2), 403–414. https://doi.org/10.1044/jshr.3802.403
Bishop, D. V. M., S. J. Bishop, P. Bright, Ch. James, T. Delaney, P. Tallal. 1999. Different origin of auditory and phonological processing problems in children with language impairment: evidence from a twin study. Journal of Speech, Language, and Hearing Research 42, 155–168.
Botting, N., G. Conti-Ramsden. 2001. Non-word repetition and language development in children with specific language impairment (SLI). International Journal of Language & Communication Disorders 36 (4), 421–432.
Ceuleers, D., I. Dhooge, S. Degeest, H, Van Steen, J. Keppler, N. Baudonck. 2022. The effects of age, gender and test stimuli on visual speech perception: a preliminary study. Folia Phoniatrica et Logopaedica 74, 131–140.
Chiat, Sh., P. Roy. 2007. The preschool repetition test: am evaluation of performance in typically developing and clinically referred children. Journal of Speech, Language, and Hearing Research 50, 429–443.
Cienkowski, K. M., A. E. Carney. 2002. Auditory-visual speech perception and aging. Ear Hearing 23 (5), 439–449.
Cohen, M. M., D. W. Massaro. 1993. Modeling Coarticulation in Synthetic Visual Speech. N. M. Thalmann (eds.). Japan: Springer. 139–156.
Desai, Sh., G. Stickney, F. G. Zeng. 2008. Auditory-visual speech perception in normal-hearing and cochlear-implant listeners. Accoustical Sociaty of America 1, 428–400.
Dollaghan, Ch., T. F. Campbell. 1998. Nonword Repetition and Child Language Impairment. Journal of Speech, Language, and Hearing 41, 1136–1146.
Erdener, D., K. Sekiyama, D. Burnham. 2010. The development of auditory-visual speech perception across languages and age. Proceedings of 20th International Congress on Acoustics, 1–10.
Feld, J. E., M. S. Sommers. 2009. Lipreading, processing speed, and working memory in younger and older adults. Journal of Speech, Language, and Hearing Research 52 (6), 1555–1565.
Hidalgo-Barnes, M., D. W. Massaro. 2007. Read my lips: an animated face helps communicate musical lyrics. Psychomusicology 19(2), 3–12.
Hoff, E., C. Core, K. Bridges. 2008. Non-word repetition assesses phonological memory and is related to vocabulary development in 20- to 24-month-old. Journal of Child Language 35, 903–916.
Gathercole, S. 2006. Nonword repetition and word learning: the nature of the relationship. Applied Psycholinguistics 27, 513–543.
Gathercole, S. E., A. D. Baddeley. 1989. evaluation of the role of phonological stm in the development of vocabulary in children: a longitudinal study. Journal of Memory and Language 28(2), 200–213. https://doi.org/10.1016
Gutierrez-Clellen, V. F., G. Simon-Cereijido. 2010. Using nonword repetition tasks for the identification of language impairment in spanish-english speaking children: does the language of assessment matter? Learning disabilities research and practice 25 (1), 45–58.
Iarocci, G., A. Rombough, J. Yager, D. J. Weeks, R. Chua. 2010. Visual influences on speech perception in children with autism. Autism 14(4), 1362–3613.
Kapalkova, S., K. Polišenska, Z. Vicenova. 2013. Non-word repetition performance in Slovak-speaking children with and without SLI: novel scoring methods. International Journal of Language, Communication Disorders 48(1), 78–89.
Kardelis, K. 2002. Mokslinių tyrimų metodologija ir metodai. 2-asis pataisytas ir papildytas leidimas. Kaunas, 2002
Kazlauskienė, A. 2007. Intervokaliniai priebalsiai: vienanarės ir dvinarės grupės. Kalbų studijos 11, 36–42.
Kazlauskienė, A., G. Raškinis. 2008a. Lietuvių kalbos fonologinio skiemens struktūrinių modelių dažnumas. Žmogus ir Žodis 1, 24–31.
Kazlauskienė, A., G. Raškinis. 2008b. Intervokaliniai priebalsiai: trinarės, keturnarės ir penkianarės grupės. Kalbų studijos 13, 51–59.
Kazlauskienė, A., G. Raškinis. 2009. Bendrinės lietuvių kalbos garsų dažnumas. Respectus Philologicus 16 (20), 169–182.
Kazlauskienė, A. 2010. Lietuvių kalbos žodžių foneminės struktūros dėsningumai. Žmogus ir žodis 1, 35–41.
Kavitskaya, D., M. Babyonushev, T. Walls, E. Grigorenko. 2011. Investigating the effects of syllable complexity in Russian-speaking children with SLI. Journal of Child Language 38, 979–998.
Krivickaitė-Leišienė, E., I. Dabašinskienė. 2023. Children’s sensitivity to visual information: Methodological considerations for non-word repetition testing. Eesti Rakenduslingvistika Ühingu aastaraamat 19, 93–110. DOI: 10.5128/ERYa19.06
Krivickaitė-Leišienė, E., I. Dabašinskienė. 2022. The bilingual advantage: performing the non-word repetition test. Philologia Estonica Tallinnensis 7, 239-262. DOI: https://doi.org/10.22601/PET.2022.07.09, ISSN 2504-6624
Krivickaitė, E. 2016. Vaikų kalbos fonotaktikos raida. Daktaro disertacija. Kaunas: Vytauto Didžiojo universitetas.
Krivickaitė, E. 2014a. Netikrų žodžių kartojimo testas: lietuvių vienakalbių ir dvikalbių vaikų kalbos tyrimas. Taikomoji kalbotyra 4. Prieiga internetu https://www.zurnalai.vu.lt/taikomojikalbotyra/article/view/17468/16643 (žiūrėta 2022 10 23)
Krivickaitė, E. 2014b. Fonotaktikos įsisavinimo tyrimas išgalvotų žodžių pakartojimo testu tipinės ir sutrikusios vaikų kalbos grupėse. Specialusis ugdymas 2(31), 83–105.
Krivickaitė, E., I. Dabašinskienė. 2013. Lietuvių kalbos fonologijos įsisavinimas: netikrų žodžių kartojimo eksperimentinis tyrimas. Kalbos kultūra 86, 237–255.
Kunnari, S. 2011. Powerpoint presentation for nonword repetition test in COST IS0804 meeting (Unpubliched presentation) http://www.bi-sli.org
Massaro, D. W. 1984. Children’s perception of visual and auditory speech. Children development 55 (5), 1777–1788.
Massaro, D. W., A. Bosseler. 2006. The importance of the face in a computer-animated tutor for vocabulary learning by children with autism. Autism 10 (5), 495–510.
Massaro, D. W., M. M. Cohen. 1996. Perceiving speech from inverted faces. Perception & Psychophysics 58(7), 1047–1065.
Massaro, D. W., M. M. Cohen, P. M. T. Smeele. 1995. Cross-linguistic comparisons in the integration of visual and auditory speech. Memory & Cognition 23(l), 113–131
McGurk, H., J. MacDonald. 1976. Hearing lips and seeing voices. Nature 264, 746–748.
Munson, B., B. A. Kurtz, J. Windor. 2005. The influence of vocabulary size, phonotactic probability, and wordlikeness on nonword repetitions of children with and without specific language impairment. Journal of Speech, Language, and Hearing Research 48, 1033–1047.
Okada, K., G. Hickok. 2009. Two cortical mechanisms support the integration of visual and auditory speech: A hypothesis and preliminary data. Neuroscience Letters 452, 219–223.
Polišenská, K., S. Kapalková. 2014. Improving child compliance on a computer-administered nonword repetition task. Journal of Speech, Language, and Hearing Research 57, 1060–1068.
Radeborg, K., E. Barthelom, M. Sjorberg, B. Sahlen. 2006. A Swedish non-word repetition test for preschool children. Scandinavian Journal of Psychology 47, 187–192.
Ross, L. A., S. Molholm, D. Blanco, M. Gomez-Ramirez, D. Saint-Amour, J. J. Foxe. 2011. The development of multisensory speech perception continues into the late childhood years. European Journal of Neuroscience 33, 2329–2337.
1 Lietuviškas išgalvotų žodžių pakartojimo testas kurtas E. Krivickaitės ir I. Dabašinskienės (2013) taikant bendrą metodiką, sudarytą su užsienio šalių mokslininkais dalyvaujant tarptautiniame projekte COST IS0804 Kalbos sutrikimai daugiakalbėje visuomenėje: kalbiniai modeliai ir būdai juos nustatyti (angl. Language Impairment in a Multilingual society: Linguistics Patterns and the Road to Assessment) projekte (2011–2013 m.).
2 Neseniai išleista publikacija anglų kalba, kur aprašytas lietuvių vaikų išgalvotų žodžių pakartojimo tyrimas, taikant skirtingas išgalvotų žodžių pateikimo procedūras (žr. Krivickaitė-Leišienė, Dabašinskienė 2023).
3 Amžius žymimas taip: 5;11 – penkeri metai ir vienuolika mėnesių.
4 Išgalvotu žodžiu vadinama fonologinė garsų eilė, atitinkanti konkrečios kalbos fonotaktikos dėsnius, tačiau neturinti jokios reikšmės. Tai greitai ir nesudėtingai atliekamas testas, skirtas patikrinti vaiko gebėjimą ištarti tam tikrus garsus ir išlaikyti žodžio struktūrą (išsamiau išgalvotų žodžių pakartojimo testas aprašytas 3 skyriuje).
5 Vaikams dalyvauti tyrime ir naudoti kalbinius jų duomenis gauti tėvų (globėjų) sutikimai.
6 Išgalvoti žodžiai įrašyti 40 m. moters. Su užduoties atlikimo procedūra tiriamuosius supažindino kita tyrėja – 35 m. moteris.
7 Ta pati moteris, kuri instruktavo tyrimo dalyvius, kai išgalvoti žodžiai buvo pateikiami garso įrašu.
8 Kiekvienoje amžiaus grupėje buvo po keletą išimčių – tai tiriamieji, kurių rezultatai nutolę nuo visos grupės atsakymų vidurkio. Šios išimtys iš statistinių skaičiavimų išimtos.